堆排序
堆
(二叉)堆是一个数组,可被看成一个近似的完全二叉树,树上的每一个结点对应数组中的一个元素,除了最底层外,该树是完全充满的,而且是从左向右填充。
树的根结点为A[1],给定一个结点的下标i,则父结点、左孩子、右孩子结点下标为:
Parent(i)
return i/2
Left(i)
return 2i
Right(i)
return 2i+1

二叉堆分为最大堆和最小堆,最大堆的性质为除了根以外的所有结点i都要满足A[Parent(i)]≥A[i],最小堆则相反,即A[Parent(i)]≤A[i]。最小堆通常用于构造优先队列。
维护堆的性质
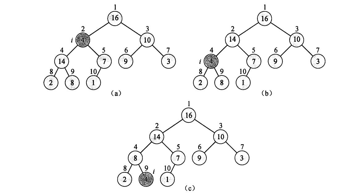
maxHeapify为维护最大堆的重要过程,输入为数组A和下标i,假定根节点为Left(i)和Ringht(i)的二叉树都是最大堆,结点A[i]可能小于其孩子,违背了最大堆的性质,maxHeapify通过让A[i]的值在最大堆中“逐级下降”从而使得以下标i为结点的子树重新遵循最大堆性质。

void maxHeapify(int A[],int i) { int l=2*i; int r=2*i+1; int largest=i; if(l<=heapsize&&A[l]>A[i]) largest=l; if(r<=heapsize&&A[r]>A[largest]) largest=r; if(largest!=i) { int tmp=A[i]; A[i]=A[largest]; A[largest]=tmp; maxHeapify(A,largest); } }
建堆
用自底向上的方法利用过程maxHeapify把一个大小为n=A.length的数组转化为最大堆。
子数组A([n/2]+1...n)中的元素都是树的叶结点。每个叶结点都可以看成只包含一个元素的堆,过程buildMaxHeap对树中的其它结点都调用一次maxHeapify
void buildMaxHeap(int A[]) { heapsize=length; for(int i=length/2; i>=1; i--) maxHeapify(A,i); }
堆排序算法
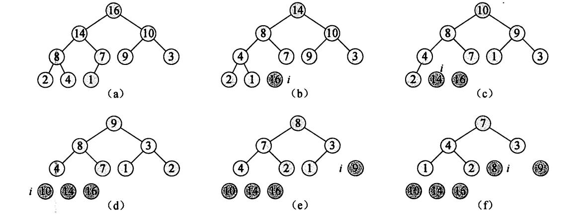
初始时,堆排序算法利用buildMaxHeap将输入数组建成最大堆,因为数组中的最大堆元素总在根结点A[1]中,通过把它与A[n]进行互换,可以把该元素放到正确的位置。此时,从堆中去掉结点n,剩余结点中,原来根的孩子结点仍是最大堆,而新的根结点可能会违背最大堆的性质,可以调用maxHeapify(A,1)从而在A[1...n-1]上构造一个新的最大堆。堆排序算法会不断重复这一过程。直到堆的大小从n-1降到2。

void heapSort(int A[]) { buildMaxHeap(A); for(int i=length; i>=2; i--) { int tmp=A[1]; A[1]=A[i]; A[i]=tmp; heapsize--; maxHeapify(A,1); } }
完整代码
#include<iostream> using namespace std; int heapsize,length; void maxHeapify(int A[],int i) { int l=2*i; int r=2*i+1; int largest=i; if(l<=heapsize&&A[l]>A[i]) largest=l; if(r<=heapsize&&A[r]>A[largest]) largest=r; if(largest!=i) { int tmp=A[i]; A[i]=A[largest]; A[largest]=tmp; maxHeapify(A,largest); } } void buildMaxHeap(int A[]) { heapsize=length; for(int i=length/2; i>=1; i--) maxHeapify(A,i); } void heapSort(int A[]) { buildMaxHeap(A); for(int i=length; i>=2; i--) { int tmp=A[1]; A[1]=A[i]; A[i]=tmp; heapsize--; maxHeapify(A,1); } } int main() { int A[20]; cin>>length; for(int i=1; i<=length; i++) cin>>A[i]; heapSort(A); for(int i=1; i<=length; i++) cout<<A[i]<<" "; cout<<endl; return 0; }
浙公网安备 33010602011771号