数据结构-Huffman树
一、定义
Huffma树,霍夫曼树 或 哈夫曼树,是一种带权路径和最短的树,也叫最优二叉树
一个树的带权路径和=每个叶子节点的带权路径长度之和
一个叶子节点的带权路径长度 = 节点权值 * 层高
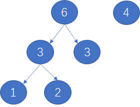
如下,节点1的带权路径长度=1*2(层高)=2
整个树的带权路径长度=1*2 + 2*2 + 3*2 + 3*2 = 18

Huffman 树就是解决如下问题:
给定N个有权值的节点,如何构造一个二叉树使得树的带权路径之和 最短。
二、构造过程
原则:每次选择权值最小的两个节点构造树
如有权值为1 2 3 4 共4个节点,
第一步:取最小的两个节点1 2作为左右子节点
父节点的权值=左右儿子节点权值之和

第二步:取 3 3两个节点作为左右儿子节点

第三步:取4 6 两个字节作为左右儿子节点

完成:次数即为Huffman树
三、场景
Huffman树常用于压缩算法。
如给定一串字符串,以每个字符出现的次数为权值,构建Huffman树
如A出现1次 B出现2次 C出现3次 D出现4次,构造的huffman树如下:
左边的路径用0标识,右边的路径用1标识,则编码如下:
A : 000
B :001
C :01
D:1
次数出现越多的越靠近根节点,编码长度越短,这样就达到压缩的目的

 
                    
                
 
                
            
         浙公网安备 33010602011771号
浙公网安备 33010602011771号