航空公司价值预测
import pandas as pd datafile=r"C:\Users\Lenovo\Desktop\air_data.csv" resultfile=r"D:\explore.csv" data=pd.read_csv(datafile, encoding='utf-8') explore=data.describe(percentiles=[],include='all').T explore['null']=len(data)-explore['count'] explore=explore[['null','max','min']] explore.columns=[u'空值数',u'最大值',u'最小值'] explore.to_csv(resultfile) from datetime import datetime import numpy as np import pandas as pd import matplotlib.pyplot as plt; ffp=data['FFP_DATE'].apply(lambda x:datetime.strptime(x,'%Y/%m/%d')) ffp_year=ffp.map(lambda x : x.year) #绘制各年份会员入会人数直方图 fig=plt.figure(figsize=(8,5)) plt.rcParams['font.sans-serif']='SimHei' plt.rcParams['axes.unicode_minus']=False plt.hist(ffp_year,bins='auto',color='#0504aa') plt.xlabel('年份') plt.ylabel('入会人数') plt.title('各年份会员入会人数3155') plt.show() plt.close

#提取会员不同性别人数 male=pd.value_counts(data['GENDER'])['男'] female=pd.value_counts(data['GENDER'])['女'] #绘制会员性别比例饼图 fig=plt.figure(figsize=(7,4)) plt.pie([male,female],labels=['男','女'],colors=['lightskyblue','lightcoral'],autopct='%1.1f%%') plt.title('会员性别比例3155') plt.show() plt.close

#提取不同级别会员的人数 lv_four=pd.value_counts(data['FFP_TIER'])[4] lv_five=pd.value_counts(data['FFP_TIER'])[5] lv_six=pd.value_counts(data['FFP_TIER'])[6] #绘制会员各级别人数条形图 fig=plt.figure(figsize=(8,5)) plt.bar(x=range(3),height=[lv_four,lv_five,lv_six],width=0.4,alpha=0.8,color='skyblue') plt.xticks([index for index in range(3)],['4','5','6']) plt.xlabel('会员等级') plt.ylabel('会员人数') plt.title('会员各级别人数3155') plt.show() plt.close()

#提取会员年龄 age=data['AGE'].dropna() age=age.astype('int64') #绘制会员年龄分布箱型图 fig=plt.figure(figsize=(5,10)) plt.boxplot(age,patch_artist=True,labels=['会员年龄'],boxprops={'facecolor':'lightblue'}) plt.title('会员年龄分布箱型图3155') plt.grid(axis='y') plt.show() plt.close

lte=data['LAST_TO_END'] fc=data['FLIGHT_COUNT'] sks=data['SEG_KM_SUM'] #绘制最后乘机至结束时长箱型图 fig=plt.figure(figsize=(5,8)) plt.boxplot(lte,patch_artist=True,labels=['时长'],boxprops={'facecolor':'lightblue'}) plt.title('会员最后乘机至结束时长分布箱型图3155') plt.grid(axis='y') plt.show() plt.close

#绘制客户飞行次数箱型图 fig=plt.figure(figsize=(5,8)) plt.boxplot(fc,patch_artist=True,labels=['飞行次数'],boxprops={'facecolor':'lightblue'}) plt.title('会员飞行次数分布箱型图3155') plt.grid(axis='y') plt.show() plt.close

#绘制客户总飞行公里数箱型图 fig=plt.figure(figsize=(5,10)) plt.boxplot(sks,patch_artist=True,labels=['总飞行公里数'],boxprops={'facecolor':'lightblue'}) plt.title('客户总飞行公里数箱型图3155') plt.show() plt.close

ec=data['EXCHANGE_COUNT'] #绘制会员兑换积分次数直方图 fig=plt.figure(figsize=(8,5)) plt.hist(ec,bins=5,color='#0504aa') plt.xlabel('兑换次数') plt.ylabel('会员人数') plt.title('会员兑换积分次数分布直方图3155') plt.show() plt.close

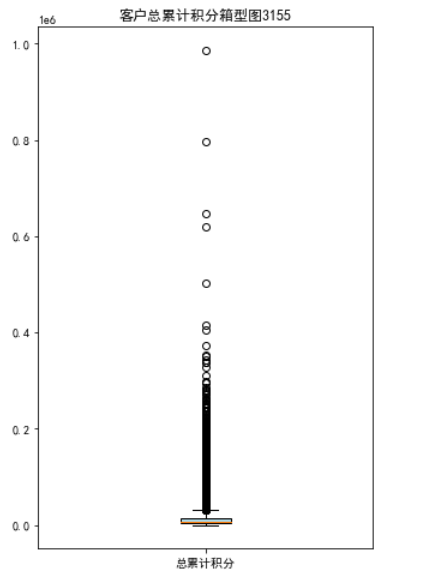
#提取会员总累计积分 ps=data['Points_Sum'] #绘制会员总乐基积分箱型图 fig=plt.figure(figsize=(5,8)) plt.boxplot(ps,patch_artist=True,labels=['总累计积分'],boxprops={'facecolor':'lightblue'}) plt.title('客户总累计积分箱型图3155') plt.show() plt.close #

#提取属性并合并为新数据集 data_corr=data[['FFP_TIER','FLIGHT_COUNT','LAST_TO_END','SEG_KM_SUM','EXCHANGE_COUNT','Points_Sum']] age1=data['AGE'].fillna(0) data_corr['AGE']=age1.astype('int64') data_corr['ffp_year']=ffp_year #计算相关性矩阵 dt_corr=data_corr.corr(method='pearson') print('相关性矩阵为:\n',dt_corr) #绘制热力图 import seaborn as sns plt.title("3155") plt.subplots(figsize=(10,10)) sns.heatmap(dt_corr,annot=True,vmax=1,square=True,cmap='Blues') plt.show() plt.close

import numpy as np import pandas as pd datafile=r"C:\Users\Lenovo\Desktop\air_data.csv" cleanedfile=r"D:\data_cleaned.csv" airline_data=pd.read_csv(datafile,encoding='utf-8') print('原始数据的形状为:',airline_data.shape) #去除票价为空的记录 airline_notnull=airline_data.loc[airline_data['SUM_YR_1'].notnull()&airline_data['SUM_YR_2'].notnull(),:] print('删除确实记录后数据的形状为:',airline_notnull.shape) #只保留票价非零的,或者平均折扣率部位0且总飞行公里数大于0的记录 index1=airline_notnull['SUM_YR_1']!=0 index2=airline_notnull['SUM_YR_2']!=0 index3=(airline_notnull['SEG_KM_SUM']>0)&(airline_notnull['avg_discount']!=0) index4=airline_notnull['AGE']>100 airline=airline_notnull[(index1|index2)&index3&~index4] print('数据清洗后数据的形状为:',airline.shape) airline.to_csv(cleanedfile) import pandas as pd import numpy as np cleanedfile=r"D:\data_cleaned.csv" airline=pd.read_csv(cleanedfile,encoding='utf-8') #选取需求属性 airline_selection=airline[['FFP_DATE','LOAD_TIME','LAST_TO_END','FLIGHT_COUNT','SEG_KM_SUM','avg_discount']] print('筛选的属性前5行为:\n',airline_selection.head()) L=pd.to_datetime(airline_selection['LOAD_TIME'])-\ pd.to_datetime(airline_selection['FFP_DATE']) L=L.astype('str').str.split().str[0] L=L.astype('int')/30 #合并属性 airline_features = pd.concat([L,airline_selection.iloc[:,2:]],axis = 1) #行合并 print('构建的LRFMC特征前5行为:\n',airline_features.head()) #数据标准化 from sklearn.preprocessing import StandardScaler data = StandardScaler().fit_transform(airline_features) # np.savez(r'G:\data\data\airline_scale.npz',data) # print('标准化后LRFMC的5个属性为:\n',data[:5,:]) import pandas as pd import numpy as np import matplotlib.pyplot as plt import seaborn as sns plt.rcParams['font.sans-serif'] = ['SimHei'] # 用来正常显示中文标签 plt.rcParams['axes.unicode_minus'] = False # 用来正常显示负号 import warnings warnings.filterwarnings('ignore') from scipy import stats from sklearn.preprocessing import StandardScaler from imblearn.over_sampling import SMOTE from sklearn.model_selection import train_test_split, cross_val_score, GridSearchCV, KFold from sklearn.feature_selection import RFE from sklearn.linear_model import LogisticRegression from sklearn.svm import SVC from sklearn.ensemble import RandomForestClassifier, VotingClassifier, ExtraTreesClassifier import xgboost as xgb from sklearn import metrics import prettytable data = pd.read_csv(r'G:\data\data\WA_Fn-UseC_-Telco-Customer-Churn.csv') print(data.head().T) print(data.info()) data.drop("customerID", axis=1, inplace=True) # 转换成连续型变量 data['TotalCharges'] = pd.to_numeric(data.TotalCharges, errors='coerce') # 查看是否存在缺失值 data['TotalCharges'].isnull().sum() # 查看缺失值分布 data.loc[data['TotalCharges'].isnull()].T data.query("tenure == 0").shape[0] data = data.query("tenure != 0") # 重置索引 data = data.reset_index().drop('index',axis=1) # 查看各类别特征频数 for i in data.select_dtypes(include="object").columns: print(data[i].value_counts()) print('-'*50) data.Churn = data.Churn.map({'No':0,'Yes':1}) fig, ax= plt.subplots(nrows=2, ncols=3, figsize = (20,8)) plt.title("3155") for i, feature in enumerate(['tenure','MonthlyCharges','TotalCharges']): data.loc[data.Churn == 1, feature].hist(ax=ax[0][i], bins=30) data.loc[data.Churn == 0, feature].hist(ax=ax[1][i], bins=30, ) ax[0][i].set_xlabel(feature+' Churn=0') ax[1][i].set_xlabel(feature+' Churn=1') plt.show()


浙公网安备 33010602011771号