线段树优化建图
线段树优化建图
神奇数据结构QwQ
本蒟蒻学习的时候在网上找到了一堆讲解
但是都没有图片讲解 于是写下了这一篇有精美图片的随笔
1. 概念
1.1.本质
本质就是用两颗线段树优化建图(节省空间)
1.2.作用
看标题可以知道 这东西其实就是一个辅助(优化)我们建图的东西
可以辅助(优化)我们干些什么:
- 点向区间连边
- 区间向点连边
- 区间向区间连边
2.实现
2.1.口胡(实则不然)
(为什么要优化?)
如果我们要将图上的\([l_1,r_1]\)区间向\([l_2,r_2]\)区间中的每一个点连一条边
那么这一个小操作需要连\((r_1-l_1+1)*(r_2-l_2+1)\)条边,如果有一个\(l\),\(r\)区间很大的操作我们就寄寄了,光是存边就可能会炸掉
(用虚点行吗?)
考虑:使用虚点(就是一个我们强行加进去的一个原图上不存在的点)
把\([l_1,r_1]\)中的每一个点向虚点连一条边,然后虚点向\([l_2,r_2]\)中每一个点连一条边
os:我的图片好精美😋
这个网站太好用了 https://app.diagrams.net/

这样我们就成功地把\((r_1-l_1+1)*(r_2-l_2+1)\)条边缩减到了\((r_1-l_1+1)+(r_2-l_2+1)\)条边
但是如果有\(n\)个操作我们就又寄寄了
(怎么办?)
回归到今天的知识点
梳理一下现在的信息:我们每一次需要把一堆点连到一个点上 然后把一个点向一堆点连线
我们看第二个点像什么东西呢? \(tree\)!!!
为了方便实现区间操作,自然地想到了线段树!
(怎么用?)
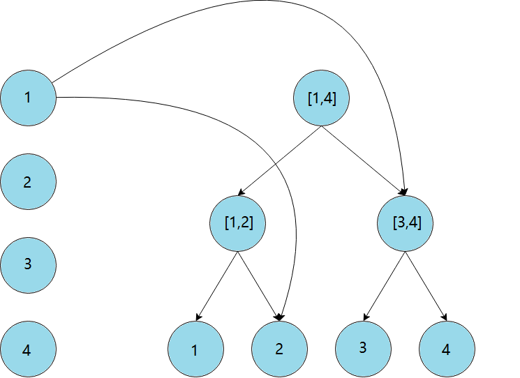
还是先看第二个问题:把一个点向一堆点连线
那么我们直接在原图基础上在旁边加一颗线段树,并把要连的点连到对应的线段树的点上
\((1->[2,4])\)
.png)
这样我们不管连多大的区间,最多也就只需要连\(logn\)级别的边数
第二个问题是解决了,那第一个问题呢?
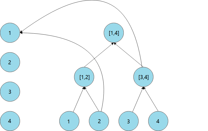
第二个问题实现的是点到区间的映射,第一个问题实现的是区间到点的映射
这两个刚好反过来了,于是我们考虑把线段树倒过来:本来是父亲指向儿子,我们把它变成儿子指向父亲
这样从\([1,2]\)的一条出边(从\([1,2]\)向其他点连的边)就可以使\([1,2]\)整个区间内的点都连出去了
画一下:
.png)
这样就成功实现了!!!
为了方便表示:我们把第一个图中的树叫做出树,第二个图的叫做入树(这里就理解成父节点连的是出边还是入边就好,不然容易被绕晕)
2.2.代码实现
2.2.1.建树(build)
在建树的时候记得边权全部赋0(具体可根据题意调整)
struct Edge{
int to,w;//id 花费
};vector<Edge> e[N];//邻接链表
inline void add_edge(int u,int v,int w){//u->v
e[u].push_back({v,w});
}
inline void build_out(int &o,int l,int r){//建出树
if(l==r)return o=l,void();
/*
if(l==r)return o=l,void();
相当于:
if(l==r){
o=l;
return;
}
*/
o=++node_tot;
int mid=(l+r)>>1;
build_out(lc[o],l,mid),build_out(rc[o],mid+1,r);
add_edge(o,lc[o],0),add_edge(o,rc[o],0);
}
inline void build_in(int &o,int l,int r){//建入树
if(l==r)return o=l,void();
o=++node_tot;
int mid=(l+r)>>1;
build_in(lc[o],l,mid),build_in(rc[o],mid+1,r);
add_edge(lc[o],o,0),add_edge(rc[o],o,0);
}
2.2.2.连边(update)
inline void update_out(int o,int l,int r,int L,int R,int u,int w){//u->[L,R]连边 权值为w
if(L<=l&&r<=R)return add_edge(u,o,w),void();
int mid=(l+r)>>1;
if(L<=mid)update_out(lc[o],l,mid,L,R,u,w);
if(R>mid)update_out(rc[o],mid+1,r,L,R,u,w);
}
inline void update_in(int o,int l,int r,int L,int R,int u,int w){//[L,R]->u连边 取值为w
if(L<=l&&r<=R)return add_edge(o,u,w),void();
int mid=(l+r)>>1;
if(L<=mid)update_in(lc[o],l,mid,L,R,u,w);
if(R>mid)update_in(rc[o],mid+1,r,L,R,u,w);
}
3.例题
CF786B Legacy
给定 \(n\) 个节点,参数 \(s\),有 \(m\) 次操作:
- 给定参数 \(v,u,w\),从 \(v\) 向 \(u\) 连一条权值为 \(w\) 的边。
- 给定参数 \(v,l,r,w\),从 \(v\) 向 连 \([l,r]\) 一条权值为 \(w\) 的边。
- 给定参数 \(v,l,r,w\) ,从 \([l,r]\) 向 \(v\) 连一条权值为 \(w\) 的边。
求 \(s\) 到每个节点的最短路。
\(1≤n,q≤10^5,1≤w≤10^9\)
\(2s,256MB\)。
板子题 把上面的入树出树和原图的\(n\)个点放在一起建一堆边,然后跑Dijikstra即可
附上本蒟蒻的丑陋代码:
#include<bits/stdc++.h>
using namespace std;
#define int long long
const int N=4e5+10;
const int INF=0x3f3f3f3f3f3f3f3f;
int n,s,Q;
struct Edge{
int to,w;
};vector<Edge> e[N];
bool operator<(const Edge &x,const Edge &y){
return x.w>y.w;
}inline void add_edge(int u,int v,int w){
e[u].push_back({v,w});
}
int lc[4*N],rc[4*N];
int node_tot;
int root_out;
int root_in;
int dis[N];
int vis[N];
priority_queue<Edge> q;
inline void build_out(int &o,int l,int r){
if(l==r)return o=l,void();
o=++node_tot;
int mid=(l+r)>>1;
build_out(lc[o],l,mid),build_out(rc[o],mid+1,r);
add_edge(o,lc[o],0),add_edge(o,rc[o],0);
}inline void build_in(int &o,int l,int r){
if(l==r){
o=l;
return;
}
o=++node_tot;
int mid=(l+r)>>1;
build_in(lc[o],l,mid);
build_in(rc[o],mid+1,r);
add_edge(lc[o],o,0);
add_edge(rc[o],o,0);
}
inline void update_out(int o,int l,int r,int L,int R,int u,int w){
if(L<=l&&r<=R)return add_edge(u,o,w),void();
int mid=(l+r)>>1;
if(L<=mid)update_out(lc[o],l,mid,L,R,u,w);
if(R>mid)update_out(rc[o],mid+1,r,L,R,u,w);
}inline void update_in(int o,int l,int r,int L,int R,int u,int w){
if(L<=l&&r<=R)return add_edge(o,u,w),void();
int mid=(l+r)>>1;
if(L<=mid)update_in(lc[o],l,mid,L,R,u,w);
if(R>mid)update_in(rc[o],mid+1,r,L,R,u,w);
}
inline void Type1(){int v,u,w;cin>>v>>u>>w;add_edge(v,u,w);}
inline void Type2(){int v,l,r,w;cin>>v>>l>>r>>w;update_out(root_out,1,n,l,r,v,w);}
inline void Type3(){int v,l,r,w;cin>>v>>l>>r>>w;update_in(root_in,1,n,l,r,v,w);}
inline void dijikstra(){
for(int i=1;i<=node_tot;i++){
dis[i]=INF;
}
dis[s]=0;
q.push({s,0});
while(!q.empty()){
Edge top=q.top();
q.pop();
int to=top.to;
int w=top.w;
if(vis[to])continue;
vis[to]=true;
for(Edge v:e[to]){
if(dis[v.to]>dis[to]+v.w){
dis[v.to]=dis[to]+v.w;
q.push({v.to,dis[v.to]});
}
}
}
}
inline void init(){
cin>>n>>Q>>s;
node_tot=n;
build_out(root_out,1,n),build_in(root_in,1,n);
for(int i=1;i<=Q;i++){
int op;cin>>op;
if(op==1)Type1();
if(op==2)Type2();
if(op==3)Type3();
}
}
inline void solve(){
dijikstra();
for(int i=1;i<=n;i++){
if(dis[i]==INF)cout<<-1<<" ";
else cout<<dis[i]<<" ";
}cout<<endl;
}
signed main(){
ios::sync_with_stdio(false);
cin.tie(0);
cout.tie(0);
init();
solve();
return 0;
}
完结撒花!!!🎉🎉🎉

浙公网安备 33010602011771号