欧氏距离

以古希腊数学家欧几里得命名的距离,也就是我们直观的两点之间直线最短的直线距离

欧氏距离就是衡量多维空间中两个点之间的 绝对距离 

 

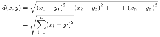
计算方法为:

  二维:

    A点坐标:x1,y1

    B点坐标:x2,y2

    

  n维:

    

    

posted @ 2022-11-28 11:06  xunzf  阅读(276)  评论(0)    收藏  举报