BresenHam算法画直线
实验原理
程序步骤
①画起点(x1,y1)
②准备画下一个点,X坐标加1,判断如果达到终点,则完成。否则找下一个点,由图可知要画的点要么为当前点的右邻接点,要么是当前点的右上邻接点。
(1)如果线段ax+by+c=0与x=x1+1的交点y坐标大于(y+*y+1))/2则选右上那个点。
(2)否则选右下那个点。
③画点
④回到第二步
⑤结束
算法伪代码:
ξ ← 0, y ← y1
For x ← x1 to x2 do
Plot Point at (x, y)
If (2(ξ + dy) < dx)
ξ ←ξ + dy
Else
y ← y + 1,ξ ←ξ + dy – dx
End If
End For
实验环境
Microsoft Windows 11
Anaconda python 3.11.9
matplotlib
完整代码
import matplotlib.pyplot as plt
def bresenham_line(ax, x1, y1, x2, y2):
dx = abs(x2 - x1)
dy = abs(y2 - y1)
sx = 1 if x1 < x2 else -1
sy = 1 if y1 < y2 else -1
err = dx - dy
while True:
ax.plot(x1, y1, 'o')
if x1 == x2 and y1 == y2:
break
e2 = 2 * err
if e2 > -dy:
err -= dy
x1 += sx
if e2 < dx:
err += dx
y1 += sy
fig, ax = plt.subplots()
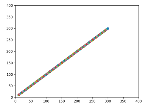
x1, y1 = 10, 10
x2, y2 = 300, 300
bresenham_line(ax, x1, y1, x2, y2)
ax.set_xlim(0, 400)
ax.set_ylim(0, 400)
plt.show()
实验结果
可以高效完成直线的绘制,并且在视觉上可以观察到绘制的直线是平滑的。表现出了良好的准确性。

实验分析
Bresenham算法由于其高效性和准确性,在计算机图形学和图像处理领域有着广泛的应用。例如,在需要快速绘制大量直线的图形渲染中,Bresenham算法可以显著提高渲染性能。此外,在进行图像分割、直线特征提取等图像处理任务时,Bresenham算法也是优选的算法之一。
算法主要适用于栅格图形,对于非栅格或抗锯齿的图形处理可能不是最佳选择。
浙公网安备 33010602011771号