回归任务常用损失函数及评价指标
损失函数
1. MSE(均方误差损失)
\[ C = (y - f(x))^2 \]
\[ \frac{\partial C}{\partial f(x)} = -2(y - f(x)) \]
优点:
1. 收敛快
缺点:
1. 假设了样本服从正态分布,如果训练样本label不服从正态分布,则MSE并非最大似然估计
2. 对异常点很敏感
2. MAE(平均绝对误差损失)
\[ C = |y - f(x)| \] \[ \frac{\partial C}{\partial f(x)}= \begin{cases} -1, & \text{if } y > f(x) \\ 1, & \text{if } y < f(x) \end{cases} \]
优点:不容易受异常值影响
缺点:收敛速度慢,拟合能力弱
3. Huber Loss
\[ L_{\delta}(y, f(x)) = \begin{cases} \frac{1}{2}(y - f(x))^2, & \text{if } |y - f(x)| \leq \delta \\ \delta|y - f(x)| - \frac{1}{2}\delta^2, & \text{if } |y - f(x)| > \delta \end{cases} \]
优点:结合了MSE和MAE的优点
缺点:需要调参
4. WCE
\[ C = - \sum_{i = 1}^{n} (y_i \log f(x_i) + \log(1 - f(x_i))), \text{ where } f(x) = \frac{1}{1 + e^{-\theta x}} \] 令\(y_i' = e^{\theta x_i}\) \[ C = - \sum_{i = 1}^{n} \left( y_i \log y_i' - (1 + y_i) \log(1 + y_i) \right) \] \[ \frac{\partial C}{\partial y_i'} = \frac{y_i' - y_i}{y_i'(1 + y_i')} \]
优点:把回归任务转化成了更容易学习的二分类任务
缺点:
1. wce loss在低估(y'<y)和高估(y'>y)时梯度不对称,低估时梯度很大,高估时梯度很小,很容易导致模型高估
2. 假设了样本分布服从几何分布,如果样本分布不是几何分布,可能导致效果不好
5. softmax+logloss
训练阶段:对label分桶,把回归问题转为多分类问题
serving阶段:落在每个桶的概率*桶均值(中位数)
优点:避免了原始回归问题对样本概率分布的先验假设,可以拟合任意概率分布
缺点:
1. 需要合理的对label分桶
2. 分桶方式太hard,连续桶交接处的loss变化过大
6. Ordinal Regression
参考论文《Deep Ordinal Regression Network for Monocular Depth Estimation》
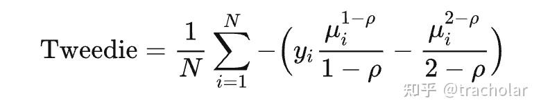
7. Tweedie

假设分布服从泊松-伽马分布
https://zhuanlan.zhihu.com/p/629883594

浙公网安备 33010602011771号