【文化课学习笔记】【化学】选必三:合成高分子&生物大分子
【化学】选必三:合成高分子&生物大分子
如果你是从 B 站一化儿笔记区来的,请先阅读我在第一篇有机化学笔记中的「读前须知」(点开头的黑色小三角展开):链接
加聚反应
基本概念
聚合反应
由小分子化合物合成高分子化合物的反应叫聚合反应。
分类:
- 加成聚合反应:由分子间通过加成反应生成高分子的反应,简称加聚反应。
- 缩合聚合反应:由分子间通过缩合反应生成高分子的反应,简称缩聚反应。
- 开环聚合反应。
高分子化合物
概念:高分子化合物一般是指由成千上万个原子以共价键连接形成的、相对分子质量很大(\(10^4\sim 10^6\) 甚至更大)的化合物,又称大分子化合物,简称高分子或大分子。高分子多是由小分子通过聚合反应而生成的,因此也称高聚物或聚合物。
分类:分为线型高分子和体型高分子。
特点:高分子化合物均为混合物。
基本知识:
以聚乙烯 PE
为例:
- 单体:形成高分子化合物的小分子化合物。聚乙烯中的单体是乙烯 \(\ce{CH2=CH2}\)。
- 链节:重复结构单元。聚乙烯中的链节是 \(\ce{-CH2-CH2 -}\)。注意:单体和链节之间必须是对应的。
- 聚合度:链节数目 \(n\)。\(n\) 不是一个确定的数值,而是一个范围,所以高分子一定是混合物。
单体加聚
合成热塑性材料
塑料的分类:
- 热塑性材料:可以反复加热熔融加工,如聚乙烯、聚丙烯、聚氯乙烯。
- 热固性材料:不能加热熔融,只能一次成型,如酚醛树脂,聚氨酯。
常见的热塑性材料加聚:
丙烯加聚得到聚丙烯:
由于聚丙烯循环部分外两端不再连有其它东西,所以属于「无端基」的加聚。
氯乙烯加聚得到聚氯乙烯 PVC:
曾经经常用于制作塑料袋。
聚苯烯加聚得到聚苯乙烯 PS:
上文提过的甲基丙烯酸甲酯,在一定条件下可以聚合为聚甲基丙烯酸甲酯 PMMA:
PMMA 是有机玻璃的主要成分,即亚克力材料,加入玻璃纤维可以得到复合材料。
合成橡胶
\(1,3-\) 丁二烯加成,遵循「\(1,4-\) 加成,\(2,3-\) 双键」得到 \(\ce{CH3-CH=CH-CH3}\),再发生加聚反应,得到顺丁橡胶,如下:
注:
- 顺丁橡胶是顺反异构中的顺式。
- 由于顺丁橡胶中含有碳碳双键,比较稳定,能保持键角基本不变,被弯曲压缩后容易恢复原形,所以具有很好的弹性,所以可以做橡胶。
- 装高锰酸钾的玻璃瓶不能用橡胶塞,碱式滴定管不能装酸性高锰酸钾,因为高锰酸钾会腐蚀橡胶。
异戊二烯发生加聚反应得到顺式聚异戊二烯,是合成橡胶的主要成分。
注意:天然橡胶中不存在顺式聚异戊二烯这种结构。天然橡胶一般是反式。
异戊二烯也能发生加聚反应得到反式聚异戊二烯,是杜仲胶的主要成分。
注意:杜仲胶是天然橡胶,属于反式异构。
合成纤维
丙烯腈聚合得到聚丙烯腈,是腈纶的主要成分,如下:
甲醛中的碳氧键可以加聚,得到人造象牙的主要成分,表面具有光泽,如下:
\(3\) 个甲醛可以加聚成环,如下:
注:
- 三聚反应主要会成六元环。
- 加聚成环类似的还有乙炔加聚得到聚炔,是导电高分子。三个乙炔也可以加聚得到环状物质三炔电门。
氰胺中碳氢三键加聚会得到三聚氰胺,多用于涂料,如下:
多种单体加聚(共聚)
乙烯和丙烯共聚:
注意:
和
两种结构实际上等价,因为从链的角度来说,它们都是每隔三个碳连一个甲基。
题型——判断单体
模型:给定一个聚合物,问它是哪些单体加聚而成的。
求解:一般情况下,链节大部分有两个碳或四个碳,所以可以根据此判断高聚物是由哪些单体加聚得到的。
缩聚反应
酚醛树脂
相关知识
酚醛树脂属于热固性材料,不能加热熔融,只能一次成型。
酚醛树脂是最早生产和使用的合成树脂,不易燃烧,具有良好的电绝缘性,被广泛用来生产电灯开关等电器用品,例如锅把、电灯的开关等,俗称电木或电玉。
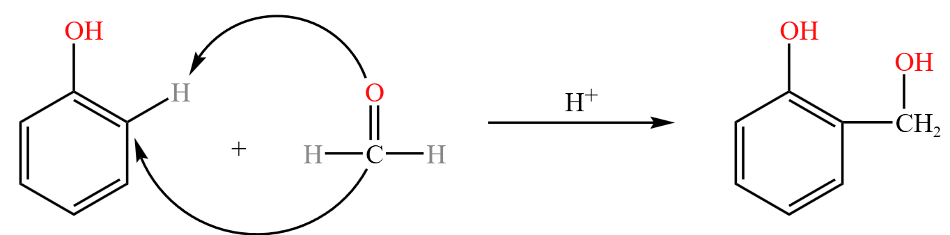
合成线性酚醛树脂
【实验操作】

【实验原理】
在 \(\ce{H+}\) 的催化作用下,等物质的量的苯酚与甲醛反应,苯酚邻位或对位的氢原子与甲醛的羰基加成生成羟甲基苯酚,然后羟甲基苯酚之间相互脱水缩合形成线型高分子。
注意:为了防止苯酚邻对位上有多个位置与甲醛反应被取代,必须严格控制苯酚与甲醛的物质的量之比为 \(1:1\)。
【反应方程式】
邻羟甲基苯酚缩合
加成:
根据电负性和键的极性,氢会和氧加成,苯环会和碳加成,如下:
缩聚:
总反应:
对羟甲基苯酚缩合
加成:
缩聚:
在实际情况下,一般对、邻羟甲基会互相缩聚,一般不会存在单独只有对羟甲基苯酚缩合的情况。
缩聚实例——对苯甲酚与丙醛发生缩聚反应:
![]()
注意:
- 这里不存在对位加成,因为 \(\ce{-OH}\) 的对位只有甲基,没有氢。
- 生成物中 \(\ce{CH2CH3}\) 必须连在 \(\ce{CH}\) 下面,即支链上,不能连在主链上,因为 \(\ce{H}\) 与 \(\ce{O}\) 结合到的 \(\ce{OH}\) 必须连在最外面(需要脱水缩合),如果将 \(\ce{CH2CH3}\) 连在主链内部从键的角度上不存在这种物质。
- 书写的时候,可以先写出苯环和两边的 \(\ce H\),再补其它物质。
- 计算 \(\ce{H2O}\) 的化学计量数,可以通过前面反应物中一共有 \(2n\) 个氧(对苯甲酚有 \(n\) 个,丙醛有 \(n\) 个),生成物的缩聚物链节中一共有 \(n\) 个氧,链节外部有 \(1\) 个氧,所以水中有 \(2n - (n + 1) = n-1\) 个氧,即 \(n-1\) 个水。
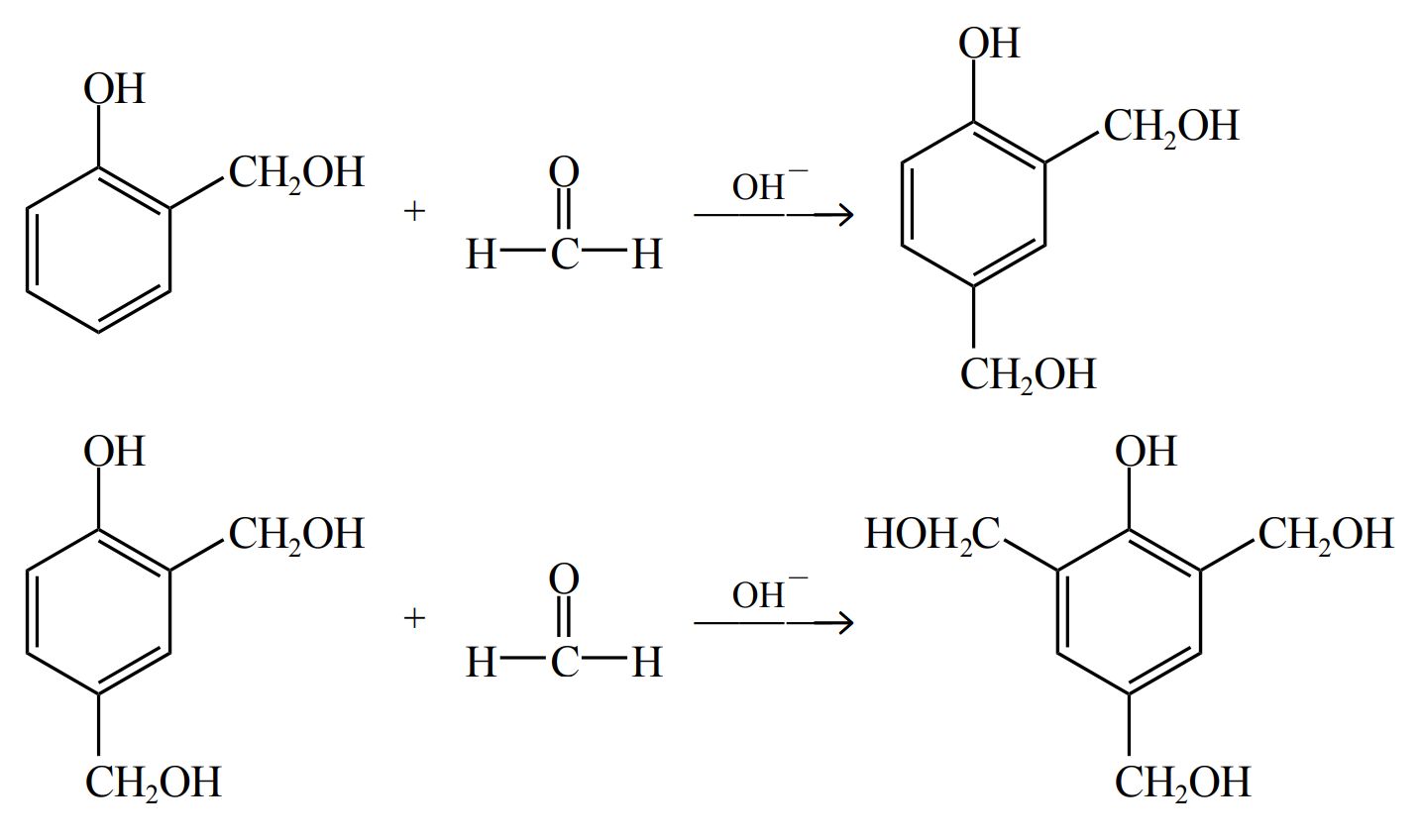
合成网状酚醛树脂
【实验操作】

【实验原理】
在 \(\ce{OH-}\) 催化下,苯酚与过量的甲醛反应,生成羟甲基苯酚的同时,还生成而羟甲基苯酚、三羟甲基苯酚等,继续反应可生成网状酚醛树脂。
【化学方程式】
加成:
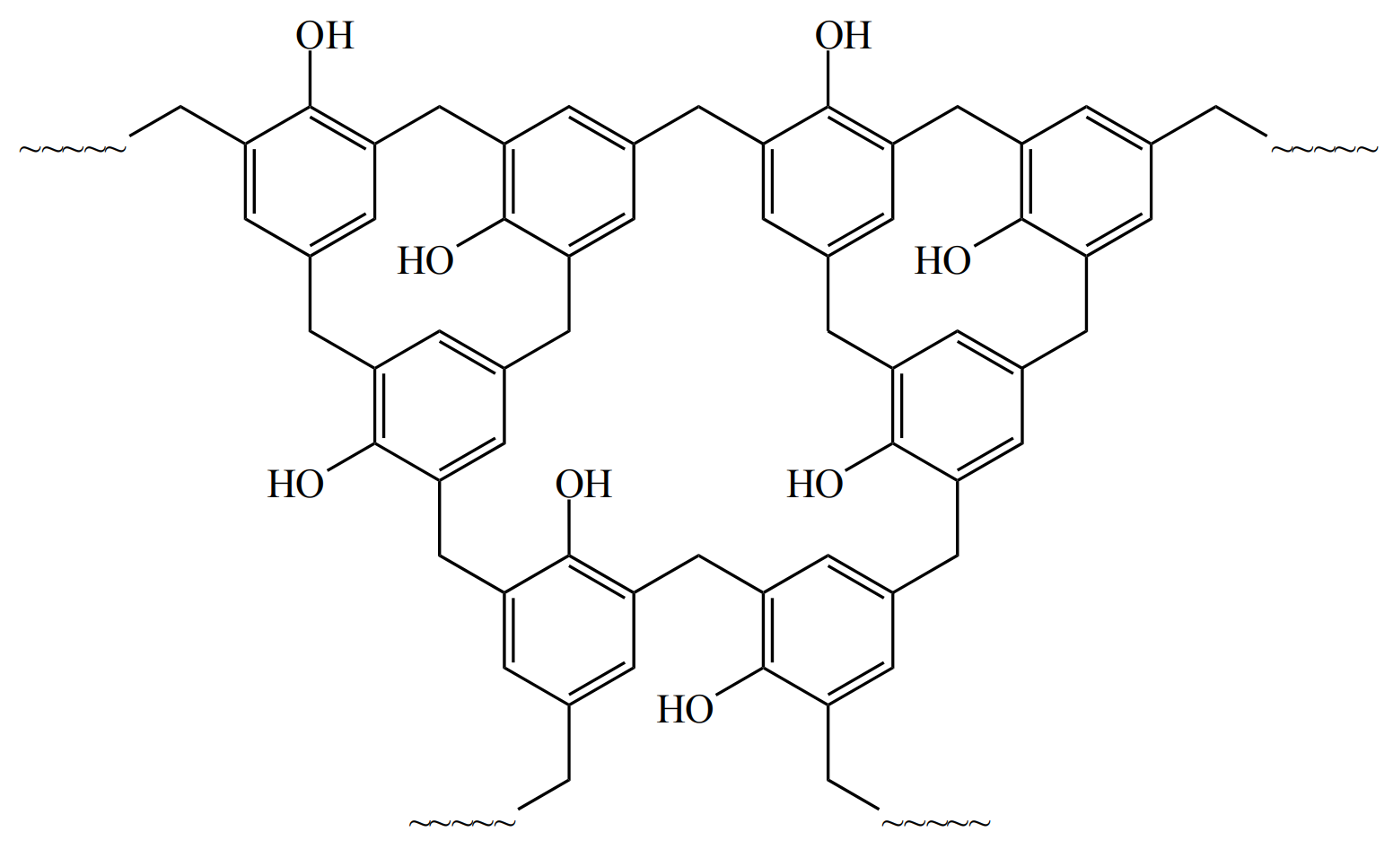
脱水缩合后得到网状酚醛树脂:
注:
- 这种网状酚醛树脂不溶于乙醇,化学性质很稳定。
- 通过得到的有机高分子区分加聚和缩聚:一般有端基的是脱水缩合,即缩聚得到;无端基的是加聚反应得到。
- 区分酸催化和碱催化得到的酚醛树脂:酸合成的是线型的,可以溶于乙醇;碱合成的是体型的,不能溶于乙醇。
拓展——脲醛树脂:
脲醛树脂一般用于接线板上的塑料,是使用尿素和甲醛缩聚而成的,如下:
![]()
实际上将酚醛树脂中的苯酚改成尿素,就是脲醛树脂。二者考法完全一致。糠醛树脂同理。
聚酯和聚酰胺
纤维的分类
纤维是指天然或人工合成的细丝状物质。
说明:
- 天然纤维主要指的是棉麻毛丝,其中棉麻的主要成分是糖类,毛丝的主要成分是蛋白质。
- 人造纤维介于天然纤维和合成纤维之间。
- 合成纤维中的六大纶指的是腈丙涤氯维锦。
聚酯纤维的合成
聚酯纤维中含有的主要官能团是脂基。
合成纤维中产量最大的是聚酯纤维中的涤纶 PET,学名是聚对苯二甲酸乙二酯。
注意:类似以上 \(2+2\) 系列的聚酯纤维,可以先酯化得到一个然后再脱水缩合,脱水缩合时遵循「酸脱羟基醇脱氢」。
用途:涤纶可用于制作饮料瓶。
乳酸单独也可以缩聚形成聚酯纤维,可以使得羟基羧基共线,然后加上括号如下:
有的时候不一定是「酸脱羟基醇脱氢」,例如下面的方程式是「酰氯脱氯醇脱氢」。
注意:如果一个物质同时具有羧基和氢(或氯和氢),就可以发生缩聚反应生成聚酯纤维。
注:上述方程式可以形成氯纶。
聚酰胺纤维的合成
聚酰胺纤维中含有的主要官能团是酰胺基。
聚酰胺纤维中的锦纶是较早面世的合成纤维之一,锦纶 66(尼龙 66,聚己二酰己二胺)的合成如下:
遵循了「酸脱羟基氨脱氢」。
注:同样地,如果一个物质中同时含有羧基和氨基,就可以发生缩聚反应「酸脱羟基氨脱氢」得到聚酰胺纤维。
维纶的合成
聚乙烯醇 PVA 和甲醛反应可用于生成维纶(聚乙烯醇缩甲醛)。
合成聚乙烯醇
乙烯醇很不稳定(在讲乙炔水化时讲过乙烯醇「烯醇式重排」会形成乙醛),所以不能利用乙烯醇单体制备聚乙烯醇。
可通过如下的方法合成聚乙烯醇。
【醋酸乙烯酯加聚】
加聚后,生成的高分子链节中的 \(\ce{CH3COO -}\) 实际上可以发生水解反应,生成聚乙烯醇。
【酯交换反应】
根据「酯脱 \(\ce{OR}\) 醇脱氢」,可生成聚乙烯醇 PVA,如下:
合成维纶
前置知识——半缩醛反应:
醛 \(\ce{RCHO}\) 上的氧被称为羰基氧,一般容易结合两个活泼的氢,例如醛可以使得乙二醇的两个羟基上的氢离去生成水,如下:
得到的生成物可以通过某些条件水解回到反应物。
酮也会有类似的反应。
那么用聚乙烯醇和甲醛可以生成维纶:
拓展:
- 如果合成的聚乙烯醇是
,那么根据上述方程式可知需要的甲醛应该是 \(\dfrac n 2\) 份,即每两个链节用一个甲醛,同样生成的维纶角标也应该是 \(\dfrac n 2\) 份,生成的水也是 \(\dfrac n 2\)。
- 得到维纶的每一个链节中都含有一个六元环。一般情况下,若题目中已知高聚物的角标是 $\dfrac n 2 $,且链节中含有一个六元环,那么一定是类似维纶的结构。
- 除了甲醛外,也可以使用其它醛进行半缩醛反应,得到 PVB 等不同的高聚物,但结构都很相似。
一个实例:
![]()
这是聚碳酸酯,根据结构式可以看出,它是酯交换反应得到的,即「酯脱 \(\ce{OR}\) 醇脱氢」,同时链接内部,从下图所示箭头方向断开,可以看出它是 \(2+2\) 发生酯化得到的。所以是先酯化再酯交换得到的。
![]()
拓展——开环聚合:
![]()
按照箭头所示的方向断开碳氧键,然后开环聚合。
开环聚合的过程中没有脱去小分子,也没有端基,是绿色化学的主要反应。
开环聚合发生的条件:是一个环酯或环酰胺。
糖类物质
组成和分类
组成
糖类一般由 \(\ce{C、H、O}\) 三种元素组成,大多数可用通式 \(\ce{C_m(H2O)_n}\) 来表示。
注意:糖不一定符合通式 \(\ce{C_m(H2O)_n}\),例如脱氧核糖 \(\ce{C5H10O4}\),符合通式 \(\ce{C_m(H2O)_m}\) 的也不一定是糖,例如甲醛 \(\ce{HCHO}\)。
结构
从分子结构上看,糖类是多羟基醛,多羟基酮和它们的脱水缩合物。
分类
根据水解情况,糖类分为单糖、寡糖和多糖。
- 不能水解的糖称为单糖,例如葡萄糖 \(\ce{C6H12O6}\),果糖 \(\ce{C6H12O6}\),核糖 \(\ce{C5H10O5}\),脱氧核糖 \(\ce{C5H10O4}\)。
- \(\pu{1 mol}\) 糖水解后能产生 \(\pu{2\sim 10 mol}\) 单糖的称为寡糖或低聚糖,如蔗糖、麦芽糖、乳糖(分子式都是 \(\ce{C12H22O11}\))。
- \(\pu{1 mol}\) 糖水解后能产生 \(\pu{10 mol}\) 以上单糖的称为多糖,如淀粉、纤维素(分子式都可表示为 \(\ce{(C6H10O5)_n}\))。
注意:
- 葡萄糖酿酒的过程不是葡萄糖水解,它是单糖,不能水解,酿酒属于葡萄糖的无氧呼吸。
- 寡糖中的蔗糖和麦芽糖都是二糖,即 \(\pu{1 mol}\) 糖水解后产生 \(\pu{2 mol}\) 单糖。
单糖
葡萄糖和果糖的结构
葡萄糖和果糖互为同分异构体。
葡萄糖分子中含有一个醛基和五个羟基,是一种六碳醛糖。
果糖是自然界中甜度最高的单糖,是一种六碳酮糖。
葡萄糖的化学性质
还原性
【与弱氧化剂反应】
葡萄糖作为醛,与银氨溶液反应,得到葡萄糖酸铵;与氢氧化铜悬浊液反应,得到葡萄糖酸钠。
【呼吸作用】
有氧呼吸:
相当于 \(6\) 个 \(0\) 价的碳(后面的氢和氧整体相当于 \(6\) 个水,所以前面是 \(6\) 个 \(0\) 价的碳),变成 \(6\) 个 \(+4\) 价的碳,\(12\) 个 \(0\) 价的氧变成 \(12\) 个 \(-2\) 价的氧。
无氧呼吸:
即在酒化酶的作用下,生成乙醇。
同时无氧呼吸在人体内形成乳酸 \(\ce{C3H6O3}\),结构为 \(\ce{CH3CHOHCOOH}\)。
酯化反应
根据葡萄糖的结构可知,\(\pu{1 mol}\) 葡萄糖与乙酸发生酯化反应,最多消耗 \(\pu{5 mol}\ \ce{CH3COOH}\)。
氧环式结构
葡萄糖分子中的羟基和醛基相互作用会形成氧环式结构。
葡萄糖水溶液中,存在链式结构与两种氧环式结构的平衡:
其中 \(\alpha-\mathrm D-\) 葡萄糖和 \(\beta - \mathrm D -\) 葡萄糖互为同分异构体,两种氧环式结构可以互相转换。
双糖
双糖又称二糖,常见的有麦芽糖和蔗糖。
麦芽糖含有醛基,蔗糖不含醛基。麦芽糖是还原性糖,蔗糖不是。
还原性糖
含有游离醛基或酮羰基的单糖(例如葡萄糖、果糖)、含有游离醛基的二糖(例如麦芽糖)都具有还原性。
注意:蔗糖不是还原性糖。高中阶段三大还原性糖是「麦果葡」。还原糖都能发生银镜反应。
水解反应
蔗糖水解:
即一分子蔗糖水解得到一分子葡萄糖和一分子果糖。
麦芽糖水解:
即一分子麦芽糖水解得到两分子葡萄糖。
多糖
常见的多糖有淀粉和纤维素,它们都属于天然有机高分子化合物,通式为 \(\ce{(C6H10O5)_n}\),没有甜味且不溶于水。
注意:
- 嚼馒头有甜味不是淀粉本身有甜味,而是水解出其它糖。
- 淀粉和纤维素不互为同分异构体,因为它们的聚合度不同。
水解反应
多糖的最终产物是葡萄糖,但中间可能经历多个中间产物。
实验
向适量淀粉溶液中加入少量稀硫酸,加热约 \(\pu{5 min}\)。
【证明淀粉是否水解】
由于淀粉的水解过程是 淀粉 \(\to\) 糊精 \(\to\) 麦芽糖 \(\to\) 葡萄糖。
所以检验是否水解就是检验葡萄糖或是否含有还原性糖。
考虑到葡萄糖中有醛基,可以使用银氨溶液或氢氧化铜悬浊液检验。同时这两种反应都需要在碱性环境。
所以我们应该首先加入 \(\ce{NaOH}\) 将溶液调至碱性,再加入银氨溶液或氢氧化铜悬浊液,观察是否有银镜或砖红色沉淀生成,若有,说明淀粉已经水解。
【证明淀粉是否水解完全】
相当于检验是否存在淀粉即可,根据淀粉遇碘单质变蓝,可以加入碘水 \(\ce{I2}\),若溶液变蓝,则说明没有水解完全,反之水解完全。
注意:淀粉是遇到碘单质变蓝,而不是遇到碘离子变蓝,所以不能加入 \(\ce{KI}\) 溶液检验。
酯化反应
淀粉、纤维素的每个葡萄糖单元一般仍有 \(3\) 个羟基,其结构可以表示为 \(\ce{[C6H7O2(OH)3]_n}\),故可以发生酯化反应。
纤维素跟硝基酯化可以得到硝化纤维 \(\ce{[C6H7O2(ONO2)]_n}\),即纤维素硝酸酯,是玻片、乒乓球的主要材料。
与醋酸酯化可以得到三醋酸纤维素酯,是有些衣服物料的主要成分。
淀粉酯化也可以得到各种各样的材料,广泛用于工业。
用途
- 淀粉是食物的重要成分,也是重要的工业原料。
- 人体内没有能使纤维素水解的酶,无法吸收和利用纤维素。但食物中的纤维素能刺激肠道蠕动,有助于消化。
- 木材、秸秆等富含纤维素(天然纤维),经处理、纺丝可制成再生纤维——黏胶纤维。 黏胶纤维中的长纤维称为人造丝,短纤维称为人造棉。
注意:人造丝、人造棉属于再生纤维,而不是合成纤维,在前面「纤维的分类」提到过。
油脂
注:油脂在新高考人教版化学课本中属于「烃的衍生物 - 羧酸衍生物」中的内容,实际上不属于生物大分子,但由于它和糖类、氨基酸、蛋白质等物质都属于人体的六大营养物质,且学习逻辑非常类似,所以油脂也就放在这里来写了。
结构和分类
结构
油脂是高级脂肪酸的甘油酯(甘油三酯)。
高级脂肪酸指的是碳数多。
红框部分连上三个氢,即为甘油,由于是三个羧酸与甘油形成的酯,所以叫甘油酯。
其中 \(\ce{R_1,R_2,R_3}\) 都是很长的碳链,所以是高级脂肪酸,最常考的有三种:
- 硬脂酸 \(\ce{C17H35COOH}\),也叫十八酸,不饱和度为 \(0\),所以叫饱和高级脂肪酸甘油酯。
- 软脂酸 \(\ce{C15H31COOH}\),也叫十六酸,也属于饱和高级脂肪酸甘油酯。
- 油酸 \(\ce{C17H33COOH}\),不饱和度 \(\Omega = 1\),所以也叫不饱和高级脂肪酸甘油酯。
碳数多的叫硬脂酸,碳数少的叫软脂酸,油酸在硬脂酸的基础上少了两个 \(\ce H\)。
分类
根据状态可分为油和脂肪,其中油常温条件下为液态,而脂肪常温条件下为固态。
根据油脂的结构中 \(\ce{R_1,R_2,R_3}\) 是否相同将油脂分为单甘油酯和混甘油酯,若 \(\ce{R1,R2,R3}\) 相同则是单甘油酯,若 \(\ce{R1,R2,R3}\) 不同则是混甘油酯。
注意:天然油脂大多数都是混甘油酯形成的混合物。
物理性质
难溶于水,密度比水小,易溶于有机溶剂,无固定熔沸点(即非晶体)。
化学性质
水解反应
酸性水解
酸性条件下,依照「酸补羟基醇补氢」进行水解,生成丙三醇(甘油)和硬脂酸,如下:
酸性水解是可逆的,这里也可以写可逆符号。
碱性水解(皂化反应)
碱性条件下水解,生成甘油(丙三醇)和高级脂肪酸钠,如下:
碱性水解又名皂化反应,是用于制造肥皂的反应。
去污原理:
主要利用的是相似相溶原理。
高级脂肪酸钠的作用:如下图,高级脂肪酸钠中,\(\ce{C17H35}\) 属于链状亲油基,而 \(\ce{COONa}\) 是亲水基。其中亲水基和水反应,亲油基和油反应,将油包裹起来,从而达成去污的效果,也叫乳化反应。
丙三醇的作用:丙三醇与水以任意比例互溶,因为丙三醇中有大量亲水基,所以它具有很强的稀释作用,一般用于护肤保湿。
分离高级脂肪酸钠与丙三醇:通过盐析法,加入足够的盐,会使得高级脂肪酸钠析出,可以实现二者的分离。
拓展:地沟油作为油脂,通过碱性水解可以制肥皂,同时通过「酯交换反应」,根据「酯脱 \(\ce{OR}\) 醇脱氢」可以制备生物柴油。
注意:
- 汽油、矿物油是 \(5 \sim 11\) 碳的烃类物质,不是油脂。
- 践行水解得到的产物不会分层,而是会混在一起形成皂化液。
加成反应(油脂的氢化 / 硬化)
硬脂酸等饱和酸没有双键,不能发生加成,能够发生加成的一定是不饱和脂肪酸甘油酯。
油酸甘油酯(油)可以通过氢气加成变成硬脂酸甘油酯(脂肪),如下:
称为油脂的氢化,又由于是将油(液态)变为脂肪(固态),所以也叫油脂的硬化。
通过上述过程可获得人造脂肪,也称硬化油。硬化油不易氧化变质,便于储存和运输,可用作制肥皂和人造奶油的原料。
不饱和脂肪酸甘油酯在氢化的过程中可能会发生一些链节的变化,变成反式脂肪酸脂肪油,变成反式之后无法利用,可能会产生有害的后果,所以天然油脂会相对更安全。
一般来说植物的油脂,例如杏仁油等是不饱和脂肪酸甘油酯,为了方便运输需要氢化 / 硬化,可能会对人体造成伤害,所以不提倡;动物的油脂大都是饱和脂肪酸甘油酯,属于脂肪,一般不需要氢化 / 硬化。
氨基酸
结构
结构上既有氨基 \(\ce{-NH2}\) 又有羧基 \(\ce{-COOH}\) 的酸叫做氨基酸,是氨基取代了羧酸分子中的烃基上的氢原子形成的取代羧酸。
蛋白质水解后得到的氨基酸均为 $\alpha - $ 氨基酸,由于氨基酸的主体官能团是羧基,所以羧基上直接相连的碳就叫做 $\alpha - $ 碳 ,\(\alpha-\) 碳上连接氨基酸,就叫做 \(\alpha-\) 氨基酸,其结构可表示为:
用同样的命名方法,可以知道乳酸 \(\ce{CH3CHOHCOOH}\) 属于 \(\alpha-\) 羟基酸,一般 \(\alpha-\) 羟基酸 / 氨基酸比普通的羧酸更加稳定,具有生命活性。主要是由于羧基上的氧可以和氨基上的氢形成分子内氢键,如下:
常见的 \(\alpha-\) 氨基酸:
物理性质
天然氨基酸均为无色晶体,熔点较高。
注意与油脂区分,油脂没有固定的熔沸点,不是晶体。
一般能溶于水,难溶于乙醇、乙醚。
解释:
- 氨基酸中的氨基和羧基都是亲水基,可以与水分子形成分子间氢键,所以能溶于水,难溶于乙醇和乙醚。
- 氨基酸在水中主要以两性离子的形式存在。
化学性质
两性
氨基酸是一种两性化合物,既能和酸反应,又能和碱反应,通常以两性离子形式存在。
氨基是一个显碱性且能够与氢反应的官能团,其中 \(\ce{N}\) 上有波段电子,可以接纳含有空轨道的 \(\ce H\),形成 \(\ce{-NH3+}\)。羧基是一个显弱酸性的官能团。羧基上的氢可能会与氨基结合,形成上图中的两性离子。
根据其可以通过两次电离出氢,可以考分布系数图象之类的题目。
与酸反应:
离子方程式:
化学方程式:
与碱反应:
成肽反应
一个 \(\alpha-\) 氨基酸分子的羧基与另一个 \(\alpha-\) 氨基酸分子的氨基脱去一分子水形成的酰胺键称为肽键,所生成的化合物称为肽。
方程式如下:
也可以含有 \(\ce{R2}\) 的氨基酸脱去羟基,含有 \(\ce{R_1}\) 的氨基酸脱去氢,也能形成二肽。
拓展——两种氨基酸 \(X,Y\) 能形成几种二肽?
答:四种,分别是 \(XX,XY,YY,YX\)。
蛋白质
结构
蛋白质是由多种氨基酸通过肽键等相互连接形成的一类生物大分子,主要由 \(\ce{C、H、O、N、S}\) 等元素组成。
形成方式:氨基酸 \(\to\) 二肽 \(\to\) 多肽 \(\to\) 蛋白质。
蛋白质的结构不仅取决于多肽链的氨基酸种类、数目和排列顺序,还与其特定的空间结构有关:
- \(\alpha-\) 氨基酸分子按一定顺序脱水缩合形成多肽,构成蛋白质的一级结构。
- 在一条多肽链中,不相邻的碳氧双键和单氢键之间可以形成氢键,构成二级结构。
- 同一条多肽链中的氨基酸残基之间可形成氢键、二硫键等,使得氨基酸进一步扭曲,得到重叠结构,构成三级结构。
- 几条多肽链组成蛋白质的四级结构。
化学性质
水解
蛋白质水解的最终产物是氨基酸,但不能说蛋白质水解得到氨基酸。
过程:
注意:两种互为同分异构体的二肽,水解产物可能一样,例如甘氨酸和丙氨酸发生成肽反应生成的二肽有两种,这两种二肽互为同分异构体,两种同分异构体水解都能得到甘氨酸和丙氨酸。
盐析
方法:加入 \(\ce{Na+,K+,NH4+}\) 等轻金属盐。
特征:属于物理变化,用于降低蛋白质的溶解度,反应可逆。
用途:分离蛋白质。
示例:蛋白质溶液里加入饱和 \(\ce{(NH4)2SO4}\) 溶液可提纯蛋白质,不会使得蛋白质变性。
高中阶段只考察皂化液盐析和蛋白质盐析。
变性
物理因素:加热、搅拌、紫外线、放射性等。
化学因素:加入强酸、强碱、重金属盐(例如铜银铅离子)、酒精杀菌消毒、甲醛(可使得蛋白质变性营造无菌环境)。
注意:
- 医用酒精一般不用质量分数来说,而用体积分数,所以题目中若出现诸如「医用酒精的质量分数为 \(95\%\)」是错误的。
- \(95\%\) 的酒精对于细菌而言,不能使得蛋白质变性。
- 一般使用酒精杀毒来使得蛋白质变性时,需要配有一定量的水,因为酒精杀菌消毒的远离是通过氢键的作用使得蛋白质变性。
- 一般使用体积分数 \(75\%\) 的酒精让蛋白质变性。
注:若重金属盐中毒,可饮用大量牛奶和豆浆,利用重金属盐和蛋白质的作用来解毒。
特征:属于化学变化,改变了蛋白质的结构,反应不可逆。
显色反应(含苯环的蛋白质)
可以用该反应来检验蛋白质。
拓展——蛋白质的燃烧:
蛋白质由于含有氮元素和硫元素,所以其燃烧不可能只生成二氧化碳和水,例如毛丝都属于蛋白质,他们完全燃烧的产物不仅仅有二氧化碳和水。其中毛和丝燃烧具有烧焦的羽毛味。
核酸
组成与结构
核糖和脱氧核糖
核糖 \(\ce{C5H10O5}\) 和脱氧核糖 \(\ce{C5H10O4}\) 是单糖中两种重要的五碳醛糖。
核糖中,四号位上的氢与一号位醛基上的氧相连,四号位剩余的氧就会连接到醛基上的碳上。
碱基
双环结构:腺嘌呤 A 和鸟嘌呤 G。
单环结构:胸腺嘧啶 T、尿嘧啶 U 和胞嘧啶 C。
核苷
环式核糖(脱氧核糖)与碱基组成核糖(脱氧核糖)核苷。例如,下面是腺嘌呤脱氧核苷。
腺嘌呤脱氧核苷是腺嘌呤脱去氢,脱氧核糖脱去羟基然后合在一起得到的。
核苷酸
环式核糖(脱氧核糖)与碱基、磷酸基团共同组成核糖(脱氧核糖)核苷酸。如下图所示。
磷酸与腺嘌呤结合时,磷酸脱去羟基,腺嘌呤脱去氢。
核酸的结构
核酸包括核糖核酸 RNA 和脱氧核糖核酸 DNA。
- RNA:多个核糖核苷酸分子间脱水形成磷脂键后聚合而成。
- DNA:多个脱氧核糖核苷酸分子间脱水形成磷脂键后聚合而成。
注:一个磷酸分子中含有两个羟基,所以可以连接两个脱氧核糖,从而形成磷脂键将两个脱氧核糖核酸连在一起。
DNA 分子的部分结构示意图:
DNA 分子的结构示意图:
核酸是磷酸、戊糖(五碳糖)和碱基通过一定方式结合而成的。
注意:核酸是高分子化合物,但核苷酸不是,核苷酸是单体。
核酸的水解与合成
核酸的生物功能
基因
有一定碱基排列顺序的 DNA 片段含有特定的遗传信息,被称为基因。
- DNA 分子上由许多基因,决定了生物体的一系列性状。
- RNA 主要负责传递、翻译和表达 DNA 所携带的遗传信息。
DNA 的复制
亲代 DNA 分子的两条链解开后作为母链模板,在酶的作用下利用游离的核苷酸各自合成一段与母链互补的子链,最后形成两个完全相同的子代 DNA。
配对的依据:氢键形成。

和
两种结构实际上等价,因为从链的角度来说,它们都是每隔三个碳连一个甲基。
,那么根据上述方程式可知需要的甲醛应该是
浙公网安备 33010602011771号