代码随想录算法Day05| 24. 两两交换链表中的节点 19.删除链表的倒数第N个节点 面试题 02.07. 链表相交 142.环形链表II
24. 两两交换链表中的节点
题目链接: 24. 两两交换链表中的节点 - 力扣(LeetCode)
题目
给你一个链表,两两交换其中相邻的节点,并返回交换后链表的头节点。你必须在不修改节点内部的值的情况下完成本题(即,只能进行节点交换)。
示例 1:
输入:head = [1,2,3,4] 输出:[2,1,4,3]
示例 2:
输入:head = []
输出:[]
示例 3:
输入:head = [1] 输出:[1]
思路
- 使用虚拟头结点,用于处理头结点交换的问题。
- 画图,理清处理顺序。
截取自代码随想录的思路图,可以参考一下。

代码
1 class Solution { 2 public ListNode swapPairs(ListNode head) { 3 ListNode dumyhead = new ListNode(-1); // 设置一个虚拟头结点 4 dumyhead.next = head; // 将虚拟头结点指向head,这样方面后面做删除操作 5 ListNode cur = dumyhead; 6 ListNode temp; // 临时节点,保存两个节点后面的节点 7 ListNode firstnode; // 临时节点,保存两个节点之中的第一个节点 8 ListNode secondnode; // 临时节点,保存两个节点之中的第二个节点 9 while (cur.next != null && cur.next.next != null) { 10 temp = cur.next.next.next; 11 firstnode = cur.next; 12 secondnode = cur.next.next; 13 cur.next = secondnode; // 步骤一 14 secondnode.next = firstnode; // 步骤二 15 firstnode.next = temp; // 步骤三 16 cur = firstnode; // cur移动,准备下一轮交换 17 } 18 return dumyhead.next; 19 } 20 }
递归版本
19.删除链表的倒数第N个节点
题目链接: Loading Question... - 力扣(LeetCode)
题目
给你一个链表,删除链表的倒数第 n 个结点,并且返回链表的头结点。
示例 1:
输入:head = [1,2,3,4,5], n = 2 输出:[1,2,3,5]
示例 2:
输入:head = [1], n = 1 输出:[]
示例 3:
输入:head = [1,2], n = 1 输出:[1]
思路
应用双指针,如果要删除倒数第n个节点,让fast移动n步,然后让fast和slow同时移动,直到fast指向链表末尾。删掉slow所指向的节点就可以了。
关于处理头节点的问题,可以继续采用虚拟头节点。
代码
1 class Solution { 2 public ListNode removeNthFromEnd(ListNode head, int n) { 3 ListNode dummyHead = new ListNode(-1,head); // 定义虚拟头节点 4 ListNode fast = dummyHead; 5 ListNode slow = dummyHead; 6 7 // 让 fast 先走 n 步 8 while(n-- > 0){ 9 fast = fast.next; 10 } 11 12 // 让 fast 和 slow 同时走直至 fast下一个节点为null 结束 13 // 此时 slow 就为要删除的节点的前一个 14 while(fast.next != null){ 15 slow = slow.next; 16 fast = fast.next; 17 } 18 slow.next = slow.next.next; // 删除操作 19 return dummyHead.next; 20 } 21 }
面试题 02.07. 链表相交
题目链接: 面试题 02.07. 链表相交 - 力扣(LeetCode)
题目
给你两个单链表的头节点 headA 和 headB ,请你找出并返回两个单链表相交的起始节点。如果两个链表没有交点,返回 null 。
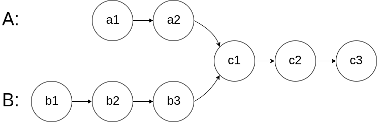
图示两个链表在节点 c1 开始相交:

题目数据 保证 整个链式结构中不存在环。
注意,函数返回结果后,链表必须 保持其原始结构 。
示例 1:

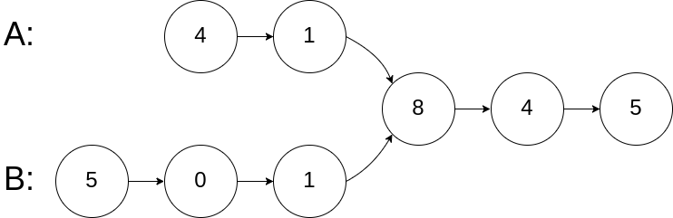
输入:intersectVal = 8, listA = [4,1,8,4,5], listB = [5,0,1,8,4,5], skipA = 2, skipB = 3 输出:Intersected at '8' 解释:相交节点的值为 8 (注意,如果两个链表相交则不能为 0)。 从各自的表头开始算起,链表 A 为 [4,1,8,4,5],链表 B 为 [5,0,1,8,4,5]。 在 A 中,相交节点前有 2 个节点;在 B 中,相交节点前有 3 个节点。
示例 2:

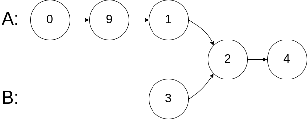
输入:intersectVal = 2, listA = [0,9,1,2,4], listB = [3,2,4], skipA = 3, skipB = 1 输出:Intersected at '2' 解释:相交节点的值为 2 (注意,如果两个链表相交则不能为 0)。 从各自的表头开始算起,链表 A 为 [0,9,1,2,4],链表 B 为 [3,2,4]。 在 A 中,相交节点前有 3 个节点;在 B 中,相交节点前有 1 个节点。
示例 3:

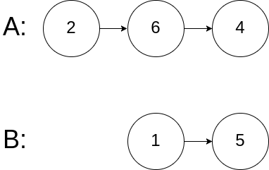
输入:intersectVal = 0, listA = [2,6,4], listB = [1,5], skipA = 3, skipB = 2 输出:null 解释:从各自的表头开始算起,链表 A 为 [2,6,4],链表 B 为 [1,5]。 由于这两个链表不相交,所以 intersectVal 必须为 0,而 skipA 和 skipB 可以是任意值。 这两个链表不相交,因此返回 null 。
思路
先求出两个链表的长度,在求出两个链表长度的差值,然后让curA移动到,和curB 末尾对齐的位置。
此时我们就可以比较curA和curB是否相同,如果不相同,同时向后移动curA和curB,如果遇到curA == curB,则找到交点。
如果循环退出,则返回null,说明没有交点
代码
1 public class Solution { 2 public ListNode getIntersectionNode(ListNode headA, ListNode headB) { 3 ListNode curA = headA; 4 ListNode curB = headB; 5 int lenA = 0, lenB = 0; 6 while (curA != null) { // 求链表A的长度 7 lenA++; 8 curA = curA.next; 9 } 10 while (curB != null) { // 求链表B的长度 11 lenB++; 12 curB = curB.next; 13 } 14 curA = headA; 15 curB = headB; 16 // 让curA为最长链表的头,lenA为其长度 17 if (lenB > lenA) { 18 //1. swap (lenA, lenB); 19 int tmpLen = lenA; 20 lenA = lenB; 21 lenB = tmpLen; 22 //2. swap (curA, curB); 23 ListNode tmpNode = curA; 24 curA = curB; 25 curB = tmpNode; 26 } 27 // 求长度差 28 int gap = lenA - lenB; 29 // 让curA和curB在同一起点上(末尾位置对齐) 30 while (gap-- > 0) { 31 curA = curA.next; 32 } 33 // 遍历curA 和 curB,遇到相同则直接返回 34 while (curA != null) { 35 if (curA == curB) { 36 return curA; 37 } 38 curA = curA.next; 39 curB = curB.next; 40 } 41 return null; 42 } 43 }
142.环形链表II
题目链接: 142. 环形链表 II - 力扣(LeetCode)
题目
给定一个链表的头节点 head ,返回链表开始入环的第一个节点。 如果链表无环,则返回 null。
如果链表中有某个节点,可以通过连续跟踪 next 指针再次到达,则链表中存在环。 为了表示给定链表中的环,评测系统内部使用整数 pos 来表示链表尾连接到链表中的位置(索引从 0 开始)。如果 pos 是 -1,则在该链表中没有环。注意:pos 不作为参数进行传递,仅仅是为了标识链表的实际情况。
不允许修改 链表。
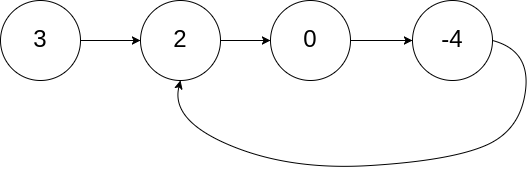
示例 1:

输入:head = [3,2,0,-4], pos = 1 输出:返回索引为 1 的链表节点 解释:链表中有一个环,其尾部连接到第二个节点。
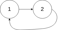
示例 2:

输入:head = [1,2], pos = 0 输出:返回索引为 0 的链表节点 解释:链表中有一个环,其尾部连接到第一个节点。
示例 3:

输入:head = [1], pos = -1 输出:返回 null 解释:链表中没有环。
思路
该题一共有两问:判断是否存在环 和 确定环的起点。
判断是否存在环:可以采用快慢指针的方式,快指针一次走两个节点,慢指针一次走一个节点(相对于slow来说,fast是一个节点一个节点的靠近slow的)。如果链表是环形的,快慢指针必然会在环内相遇(有可能是环的起始点,有可能是环内的某一点,且在慢指针还在第一圈的时候就相遇了)。
关键点在于如何确定环的起始点。需要运用一点数学知识。

如图,设相遇时慢指针走了 x + y,快指针走了 x + y + n (y + z)。由快慢指针的定义得: 2(x + y) = x + y + n(y + z) => x = n(y + z) - y。
再从 n(y + z) 中提出一个 (y+z)来,整理公式之后为如下公式:x = (n - 1)(y + z) + z (注意这里n一定是大于等于1的,因为 fast指针至少要多走一圈才能相遇slow指针)。
如果n=1,那么可得 x = z;通过这个等式就知道找到环的节点的方法。令index1等于快慢指针相遇处,index2等于head;当index1=index2的时候,代表这两个指针相遇到了环的入口处。即使n>1,那么index2走了n-1圈后,再走z步也会和index2相遇在环的入口处。
代码
1 public class Solution { 2 public ListNode detectCycle(ListNode head) { 3 ListNode slow = head; 4 ListNode fast = head; 5 while (fast != null && fast.next != null) { 6 slow = slow.next; 7 fast = fast.next.next; 8 if (slow == fast) {// 有环 9 ListNode index1 = fast; 10 ListNode index2 = head; 11 // 两个指针,从头结点和相遇结点,各走一步,直到相遇,相遇点即为环入口 12 while (index1 != index2) { 13 index1 = index1.next; 14 index2 = index2.next; 15 } 16 return index1; 17 } 18 } 19 return null; 20 } 21 }

浙公网安备 33010602011771号