2021-11- 21 力扣559.N叉树的最大深度
给定一个 N 叉树,找到其最大深度。
最大深度是指从根节点到最远叶子节点的最长路径上的节点总数。
N 叉树输入按层序遍历序列化表示,每组子节点由空值分隔(请参见示例)。

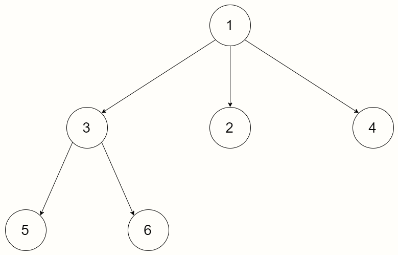
输入:root = [1,null,3,2,4,null,5,6]
输出:3
【解法一:bfs】
/*
// Definition for a Node.
class Node {
public int val;
public List<Node> children;
public Node() {}
public Node(int _val) {
val = _val;
}
public Node(int _val, List<Node> _children) {
val = _val;
children = _children;
}
};
*/
class Solution {
public int maxDepth(Node root) {
if(root == null){
return 0;
}
LinkedList<Node> q = new LinkedList<>();
q.add(root);
int height = 0;
while(!q.isEmpty()){
int sz = q.size();
for(int i = 0; i < sz; i ++){
Node cur = q.pollFirst();
for(Node node : cur.children){
if(node != null){
q.add(node);
}
}
}
height ++;
}
return height;
}
}
【解法二 dfs】
class Solution {
public int maxDepth(Node root) {
if(root == null){
return 0;
}
int ans = 0;
for(Node node : root.children){
ans = Math.max(ans, maxDepth(node));
}
return ans + 1;
}
}

浙公网安备 33010602011771号