横摇减摇原理与控制规律(2)
本篇为 赖志昌,金鸿章,李国斌,何义.随机海浪作用下的船舶横摇减摇预报方法[J].哈尔滨工程大学学报,2001(03):13-16+3. 的学习笔记。
1 能量等分法建立随机海浪的数学模型
1.1 能量等分法
对海浪功率谱密度采取等能量分割,即选定n个相邻等间距的频率值,(n-1)个频率间隔,使各频率间隔的谱密度曲线下面积相等,即各频率间隔对应能量相等。

数学表达:

当ωn=10时,该间隔处的子面积已相当小。因此计算中令ωn=10即可。
1.2 建立不规则长峰波海浪模型
- 确定各频率点:
Sζ(ω)取P-M谱,即

(2)代入(1)得

各子面积中心频率:
在(ωi-1,ωi)上加权平均,

- 确定模型:
海浪的波面倾角仿真值:

1.3 短峰波的表达式
1.2对应不规则长峰波,即不规则的海面如同在一个固定点所观测的一样,建立模型所用的波谱没有指明波的方向。而对短峰波,应考虑波谱方向扩散函数M(μ),从而获得方向波谱。
M(μ)通常形式:

方向波谱:

2 未减摇的船舶横摇运动
描述船舶受海浪干扰产生横摇的过程的系统框图如图:

即:
其中涉及:
考虑有限船宽和有限吃水后的修正系数KB(ω)和KT(ω);
波倾角到横摇角的传递函数,由conolly方程得到。
2.1 修正系数KB(ω)和KT(ω)
修正系数:对一给定船舶,根据巴甫连科修正图谱进行曲线拟合,得到的关于ω的显式表达式。
作者讨论的船舶水线面系数Cw=0.785,棱形系数Cp=0.621,修正系数表示为:

2.2 conolly方程及处理
在之前的《横摇减摇原理与控制规律(1)》这篇里写明了conolly方程在右端简化为一项时得到船舶横摇角对波倾角的幅频特性,进而得到横摇角谱密度和方差的过程。这里写出未简化的原式形式。
前文:
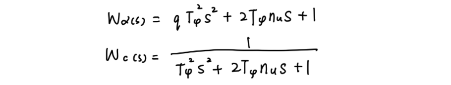
上式做拉普拉斯变换得:

对应框图中两个传递函数:

代入s=jω得幅频特性。
2.3 未减摇船舶横摇谱密度
综上,得横摇角谱密度为:

方差:

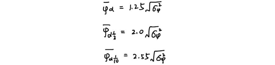
幅度平均值、最大1/3平均值、最大1/10平均值:

2.4 斜浪修正波倾角
对船用航速速率V,方向与浪成β角的情况,以遭遇频率表示波倾角遭遇谱。修正后的波倾角为:

参考文献说由式(6)得横摇角谱密度,但式(6)并没有考虑斜航。上一篇《横摇减摇原理与控制规律(1)》给出了斜航遭遇谱的详细转换过程。
方差:

3 减摇后船舶横摇运动
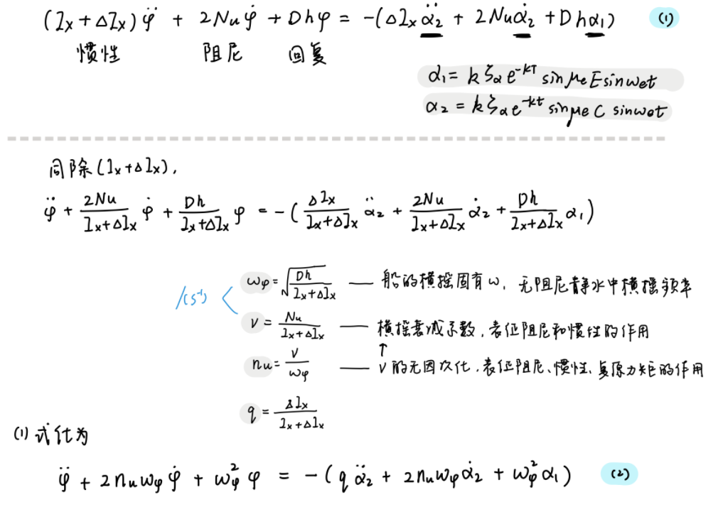
减摇后的船舶横摇运动系统框图如图。相比未减摇框图增加的部分包括减摇鳍的反馈部分、控制器、随动系统:

按性能指标

设计控制器参数,加权系数的选取与设计的鳍的减摇能力有关。


浙公网安备 33010602011771号