卷积、拉普拉斯变换和冲激响应
0 一张图

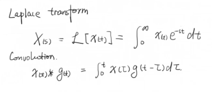
1 卷积和拉普拉斯变换的关系
Y(s)=X(s)H(s)
对 Y(s)=X(s)H(s) 做拉普拉斯逆变换得 y(t)=x(t)∗h(t)
即拉普拉斯变换与卷积存在如下关系:

两个时域函数的卷积 做 拉普拉斯变换,等于相应频域函数的 乘积。
两个频域函数的乘积 做 拉普拉斯逆变换,等于对应两个时域函数的 卷积。
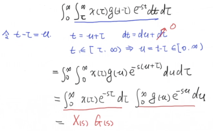
2 上述结论的证明



交换积分次序。

:
待证式子等号右边是关于x和g的两个独立积分乘积的形式,两个积分限均为0到∞,但现有的二重积分的两个积分限不满足,直接换元也凑不出∞。画积分区域,发现限制积分限的是微分的方式。所以当交换积分次序,把两端受限的横条微元改为一端开放的竖条微元就得到∞。

换元。

:
把x( )和g( )拆开到两个积分号里。g(t-τ)里有两个变量,换元令u=t-τ。
或因为dt积分的积分限不是0~∞,想把下限τ变成0,换元,t∈[τ,∞]→u∈[0,∞],u=t-τ。
![]()
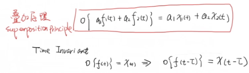
3 线性时不变系统的冲激响应与卷积
线性时不变的含义:

系统的输入、输出、传递函数:

由上述拉普拉斯逆变换和卷积的关系有:

一个线性的弹簧阻尼系统,当被施加短暂外力时,位移阻尼振荡。


系统连续的输入可以看作若干个长度为ΔT的短时恒定的输入。

这个短时恒定输入是面积不为1的冲激函数。(是“对于一个线性时不变系统,冲激响应h(t)可以完全地定义系统”的理解)由时不变,由线性,系统的输入和输出如下对应:



ΔTf(iΔT)hΔ(t-iΔT)表示面积为ΔTf(iΔT)的冲击输入在延迟了iΔT时间时的响应。
对单独的一个ΔT长度的冲激函数,系统有一个冲激响应。这是一个线性系统,由叠加原理,任一时刻如图中黑色竖线处,系统的响应等于这一时刻之前经历过的所有短时恒定输入在此时的效果的叠加。


取极限ΔT→0时,加和变成积分
,时刻iΔT记为τ,ΔT变成时间微元dτ。

结论:输出函数等于输入函数与冲激响应的卷积。

浙公网安备 33010602011771号