高斯混合模型疑点解析
高斯混合模型是EM算法的优秀实践,表达形式也十分简单,但是其推导确实有点复杂。
(26条消息) ML-朴素贝叶斯-先验分布/后验分布/似然估计_特征条件独立性假设_透明的胡萝卜的博客-CSDN博客 (此篇文章介绍了一些朴素贝叶斯基本知识,建议先看)
高斯混合模型(GMM)推导及实现 - 知乎 (zhihu.com)
ML白板推导11:高斯混合模型(待续) - 知乎 (zhihu.com)
EM的推导如下:

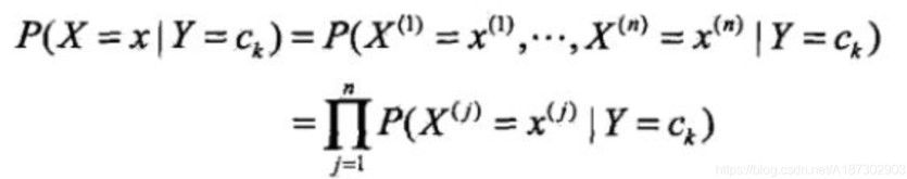
GMM的推导太长了,不写了。但是有一个问题必须要指出,Q函数多了一些连乘:


这是由于独立同分布假设,可以进行如下的换算:


浙公网安备 33010602011771号