数字信号的简单问题(二)
对于一个线性时不变系统,即符合叠加性和不随时间变化改变输入输出特性的系统,是很好分析他的频率响应函数的。
由频率响应和相位图,可以很好地看出该系统的输入输出特性。(有无延迟、有无幅度抑制)
以书中案列,可以简单的分析一个滑动平均系统,该系统的差分方程为:

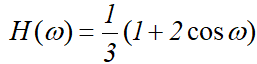
省去查表的环节,得到频率响应函数:

相对应的幅度和相位函数也可以得到:


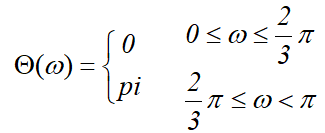
其中 相位函数是由响应函数的实部虚部计算得来的,但计算后正切值为0,0值对应两个角度,分别是0和pi。(可通过实部进一步判断角度,这里不作赘述)


最终得到了如图所示的相位幅度图,0到三分之二PI表征了低频信号,三分之二PI表征了高频信号,注意这个高低频是相对的(详细请看笔记1)。证明了滑动平均算法能够有效抑制高频的幅度,但会使得高频信息产生相移(时延)。其他的滤波,如标准卡尔曼滤波,扩展卡尔曼滤波也有相应的特性。但是粒子滤波没有这个特性,他并非时不变系统,不能这样分析!
另外插一句,线性时不变系统只会改变信号的幅度和相位,不会改变信号的周期。

浙公网安备 33010602011771号