特征值分解
方阵:行与列数相等
奇异矩阵:行列式|A|等于0
非奇异矩阵:行列式|A|不等于0
行列式的计算:

矩阵对角化:(1)|A-λE|=0,求出特征值λ;(2)(A-λE)X=0,求出特征向量p

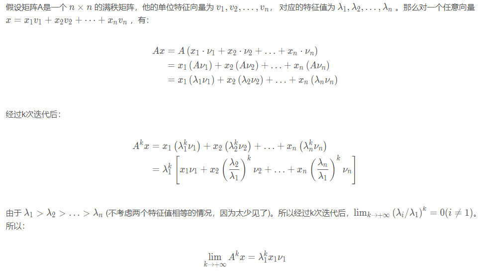
反复用矩阵A乘一个向量V:




可以看到不断左乘A后,变换后的归一化向量会恒等为(0.3,0.2,0.4),这与我们计算出来的最大特征值对应的特征向量归一化后的结果是一致的,这也就佐证了矩阵是具有某种不变的特性的。

应用
1、在图像压缩里,一张图片就可以看作是一个矩阵,当我们提取了这个矩阵的特征值和特征向量后,我们可以只用最大的几个特征值(其他的变为0)就可以基本复原这张图片
浙公网安备 33010602011771号