会员
众包
新闻
博问
闪存
赞助商
HarmonyOS
Chat2DB
所有博客
当前博客
我的博客
我的园子
账号设置
会员中心
简洁模式
...
退出登录
注册
登录
$(document).ready(function() { // 禁止右键 $(document).bind("contextmenu", function(){return false;}); // 禁止选择 $(document).bind("selectstart", function(){return false;}); // 禁止Ctrl+C 和Ctrl+A });
是晓雨呀
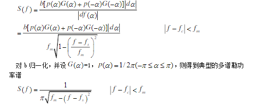
多普勒谱
posted on
2021-10-15 16:17
是晓雨呀
阅读(
184
) 评论(
0
)
收藏
举报
刷新页面
返回顶部
导航
博客园
首页
新随笔
联系
订阅
管理
公告