AES算法
高级加密标准(AES,Advanced Encryption Standard)为最常见的对称加密算法(微信小程序加密传输就是用这个加密算法的)。对称加密算法也就是加密和解密用相同的密钥,具体的加密流程如下图:

- 明文P
- 密钥K
- AES加密函数
设AES加密函数为E,则 C = E(K, P),其中P为明文,K为密钥,C为密文。也就是说,把明文P和密钥K作为加密函数的参数输入,则加密函数E会输出密文C。
- 密文C
AES的基本结构
AES为分组密码,分组密码也就是把明文分成一组一组的,每组长度相等,每次加密一组数据,直到加密完整个明文。在AES标准规范中,分组长度只能是128位,也就是说,每个分组为16个字节(每个字节8位)。密钥的长度可以使用128位、192位或256位。密钥的长度不同,推荐加密轮数也不同,如下表所示:

轮数在下面介绍,这里实现的是AES-128,也就是密钥的长度为128位,加密轮数为10轮。
上面说到,AES的加密公式为C = E(K,P),在加密函数E中,会执行一个轮函数,并且执行10次这个轮函数,这个轮函数的前9次执行的操作是一样的,只有第10次有所不同。也就是说,一个明文分组会被加密10轮。AES的核心就是实现一轮中的所有操作。
AES的处理单位是字节,128位的输入明文分组P和输入密钥K都被分成16个字节,分别记为P = P0 P1 … P15 和 K = K0 K1 … K15。如,明文分组为P = abcdefghijklmnop,其中的字符a对应P0,p对应P15。一般地,明文分组用字节为单位的正方形矩阵描述,称为状态矩阵。在算法的每一轮中,状态矩阵的内容不断发生变化,最后的结果作为密文输出。该矩阵中字节的排列顺序为从上到下、从左至右依次排列,如下图所示:

现在假设明文分组P为"abcdefghijklmnop",则对应上面生成的状态矩阵图如下:

类似地,128位密钥也是用字节为单位的矩阵表示,矩阵的每一列被称为1个32位比特字。通过密钥编排函数该密钥矩阵被扩展成一个44个字组成的序列W[0],W[1], … ,W[43],该序列的前4个元素W[0],W[1],W[2],W[3]是原始密钥,用于加密运算中的初始密钥加(下面介绍);后面40个字分为10组,每组4个字(128比特)分别用于10轮加密运算中的轮密钥加,如下图所示:

上图中,设K = “abcdefghijklmnop”,则K0 = a, K15 = p, W[0] = K0 K1 K2 K3 = “abcd”。
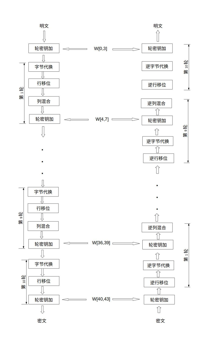
AES的整体结构如下图所示,其中的W[0,3]是指W[0]、W[1]、W[2]和W[3]串联组成的128位密钥。加密的第1轮到第9轮的轮函数一样,包括4个操作:字节代换、行位移、列混合和轮密钥加。最后一轮迭代不执行列混合。另外,在第一轮迭代之前,先将明文和原始密钥进行一次异或加密操作。

上图也展示了AES解密过程,解密过程仍为10轮,每一轮的操作是加密操作的逆操作。由于AES的4个轮操作都是可逆的,因此,解密操作的一轮就是顺序执行逆行移位、逆字节代换、轮密钥加和逆列混合。同加密操作类似,最后一轮不执行逆列混合,在第1轮解密之前,要执行1次密钥加操作。
下面分别介绍AES中一轮的4个操作阶段,这4分操作阶段使输入位得到充分的混淆。
一、字节代换
1.字节代换操作
AES的字节代换其实就是一个简单的查表操作。AES定义了一个S盒和一个逆S盒。
AES的S盒:

状态矩阵中的元素按照下面的方式映射为一个新的字节:把该字节的高4位作为行值,低4位作为列值,取出S盒或者逆S盒中对应的行的元素作为输出。例如,加密时,输出的字节S1为0x12,则查S盒的第0x01行和0x02列,得到值0xc9,然后替换S1原有的0x12为0xc9。状态矩阵经字节代换后的图如下:

二、行移位
1.行移位操作
行移位是一个简单的左循环移位操作。当密钥长度为128比特时,状态矩阵的第0行左移0字节,第1行左移1字节,第2行左移2字节,第3行左移3字节,如下图所示:

三、列混合
1.列混合操作
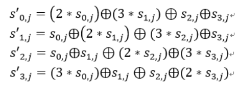
列混合变换是通过矩阵相乘来实现的,经行移位后的状态矩阵与固定的矩阵相乘,得到混淆后的状态矩阵,如下图的公式所示:

状态矩阵中的第j列(0 ≤j≤3)的列混合可以表示为下图所示:

其中,矩阵元素的乘法和加法都是定义在基于GF(2^8)上的二元运算,并不是通常意义上的乘法和加法。这里涉及到一些信息安全上的数学知识,不过不懂这些知识也行。其实这种二元运算的加法等价于两个字节的异或,乘法则复杂一点。对于一个8位的二进制数来说,使用域上的乘法乘以(00000010)等价于左移1位(低位补0)后,再根据情况同(00011011)进行异或运算,设S1 = (a7 a6 a5 a4 a3 a2 a1 a0),刚0x02 * S1如下图所示:

也就是说,如果a7为1,则进行异或运算,否则不进行。
类似地,乘以(00000100)可以拆分成两次乘以(00000010)的运算:

乘以(0000 0011)可以拆分成先分别乘以(0000 0001)和(0000 0010),再将两个乘积异或:

因此,我们只需要实现乘以2的函数,其他数值的乘法都可以通过组合来实现。
列混淆变换的正向列混淆变换对每列独立地进行操作。每列中的每个字节被映射为一个新值,此值由该列中的4个字节通过函数变换得到。
列混淆例子:

计算过程:
47 = (02•87)⊕(03•6E)⊕(01•4A)⊕(01•A6)
其中:
02•87 = 02•10000111B = 00001110B⊕00011011B =00010101B = 15
03•6E = (01⊕02)•6E = (01•6E)⊕(02•6E)
= 01101110B⊕(11011100B)= 10110010B = B2
01•46 = 46
01•A6 = A6
15⊕B2⊕46⊕A6 = 47
四、轮密钥加
轮密钥加是将128位轮密钥Ki同状态矩阵中的数据进行逐位异或操作,如下图所示。其中,密钥Ki中每个字W[4i],W[4i+1],W[4i+2],W[4i+3]为32位比特字,包含4个字节,他们的生成算法下面在下面介绍。轮密钥加过程可以看成是字逐位异或的结果,也可以看成字节级别或者位级别的操作。也就是说,可以看成S0 S1 S2 S3 组成的32位字与W[4i]的异或运算。

密钥扩展
AES首先将初始密钥输入到一个44的状态矩阵中,如下图所示。

这个44矩阵的每一列的4个字节组成一个字,矩阵4列的4个字依次命名为W[0]、W[1]、W[2]和W[3],它们构成一个以字为单位的数组W。例如,设密钥K为"abcdefghijklmnop",则K0 = ‘a’,K1 = ‘b’, K2 = ‘c’,K3 = ‘d’,W[0] = “abcd”。
接着,对W数组扩充40个新列,构成总共44列的扩展密钥数组。新列以如下的递归方式产生:
1.如果i不是4的倍数,那么第i列由如下等式确定:
W[i]=W[i-4]⨁W[i-1]
2.如果i是4的倍数,那么第i列由如下等式确定:
W[i]=W[i-4]⨁T(W[i-1])
其中,T是一个有点复杂的函数。
函数T由3部分组成:字循环、字节代换和轮常量异或,这3部分的作用分别如下。
a.字循环:将1个字中的4个字节循环左移1个字节。即将输入字[b0, b1, b2, b3]变换成[b1,b2,b3,b0]。
b.字节代换:对字循环的结果使用S盒进行字节代换。
c.轮常量异或:将前两步的结果同轮常量Rcon[j]进行异或,其中j表示轮数。
轮常量Rcon[j]是一个字,其值见下表。

下面举个例子:
设初始的128位密钥为:
3C A1 0B 21 57 F0 19 16 90 2E 13 80 AC C1 07 BD
那么4个初始值为:
W[0] = 3C A1 0B 21
W[1] = 57 F0 19 16
W[2] = 90 2E 13 80
W[3] = AC C1 07 BD
下面求扩展的第1轮的子密钥(W[4],W[5],W[6],W[7])。
由于4是4的倍数,所以:
W[4] = W[0] ⨁ T(W[3])
T(W[3])的计算步骤如下:
1.循环地将W[3]的元素移位:AC C1 07 BD变成C1 07 BD AC;
2.将 C1 07 BD AC 作为S盒的输入,输出为78 C5 7A 91;
3.将78 C5 7A 91与第一轮轮常量Rcon[1]进行异或运算,将得到79 C5 7A 91,因此,T(W[3])=79 C5 7A 91,故
W[4] = 3C A1 0B 21 ⨁ 79 C5 7A 91 = 45 64 71 B0
其余的3个子密钥段的计算如下:
W[5] = W[1] ⨁ W[4] = 57 F0 19 16 ⨁ 45 64 71 B0 = 12 94 68 A6
W[6] = W[2] ⨁ W[5] =90 2E 13 80 ⨁ 12 94 68 A6 = 82 BA 7B 26
W[7] = W[3] ⨁ W[6] = AC C1 07 BD ⨁ 82 BA 7B 26 = 2E 7B 7C 9B
所以,第一轮的密钥为 45 64 71 B0 12 94 68 A6 82 BA 7B 26 2E 7B 7C 9B。

浙公网安备 33010602011771号