机器学习-Logistic回归
Logistic回归
假设陈述

是最通用的二分分类算法。识别一张图片,结果对则1,否则0.
若图是64X64像素,有三个矩阵分别为图的红绿蓝像素表示,将之合成一个特征向量则为64X64X3=12288大小。
用nx=12288来表示输入的特征向量x的维度。要输出预测结果y。
要训练w和b。
决策界限

代价函数


普通的平方误差函数在以后的优化中可能是一个非凸函数,即有好多局部最优解,歪歪扭扭,为了得到凸函数使函数更平滑,会用其他代价函数:(注意损失函数是在单个样本上定义的,测试单个样本训练结果;成本函数用于衡量w和b的效果)
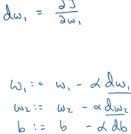
Logistic回归的梯度下降法
梯度下降法:学习训练集上的w,b


求导后算式如下:

同理,对d也是重复计算类似过程。
微积分中,若有多个变量求导,则用偏导数符号α表示,只有一个变量,导数用d表示。
适用于梯度下降的特征缩放也适用于logistic回归。

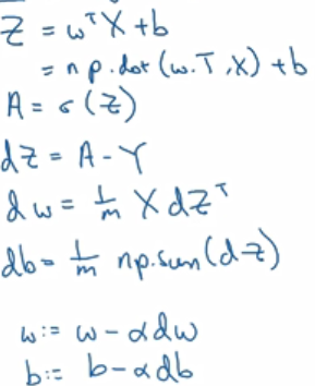
M个样本的梯度下降

向量化:

向量化方法快了几百倍。尽量避免用for,先看是否能用numpy库中的内置函数。
将向量化应用到logistic回归梯度下降算法实现:




高级优化
是回归速度更快,比梯度下降更好。


代码:
Cmd运行:



注意:θ维度必须〉=2

多元分类:一对多
一对多分类,有时也称为一对余。



浙公网安备 33010602011771号