线形均分纸牌问题
题意
有N堆纸牌,编号分别为 1,2,…,N。每堆上有若干张,但纸牌总数必为 N 的倍数。
可以在任一堆上取若干张纸牌,然后移动。
移牌规则为:在编号为 1 的堆上取的纸牌,只能移到编号为 2 的堆上;在编号为 N 的堆上取的纸牌,只能移到编号为 N−1 的堆上;其他堆上取的纸牌,可以移到相邻左边或右边的堆上。
现在要求找出一种移动方法,用最少的移动次数使每堆上纸牌数都一样多。
思路
第一堆牌只能给第二堆牌(给正负张都可以)
那么第一堆牌的值是不是平均值就决定:是否要对第一堆牌进行操作(第二堆给第一堆牌)
第一堆考虑完之后,第二堆成为“没有考虑的序列的”第一堆 ----- 进行判断:前i堆之和与(avg*i)比较
代码
#include<iostream>
using namespace std;
const int N=1e6+10;
int a[N],sum[N];
int n;
int main()
{
cin>>n;
for(int i=1;i<=n;i++)
cin>>a[i];
int res = 0;
for(int i=1;i<=n;i++) sum[i] = sum[i-1] +a[i];
int avg = sum[n] / n;
for(int i=1;i<=n;i++)
{
if(sum[i] != avg *(i))
res++;
}
cout<<res<<endl;
return 0;
}
环形均分纸牌问题
题意
第一个问题的基础上
第一个人可以将自己的牌给最后一个人,也可以从最后一个人哪里拿牌; 最后一个人同理; 询问这个时候需要的最小代价
最小代价是:移动一张牌代价为1
思路
画滴属实难看
a1,a2,a3 — an为原序列,avg为序列的平均值(也是均分之后的值

!! 化解到3之后,把常数符号之后为

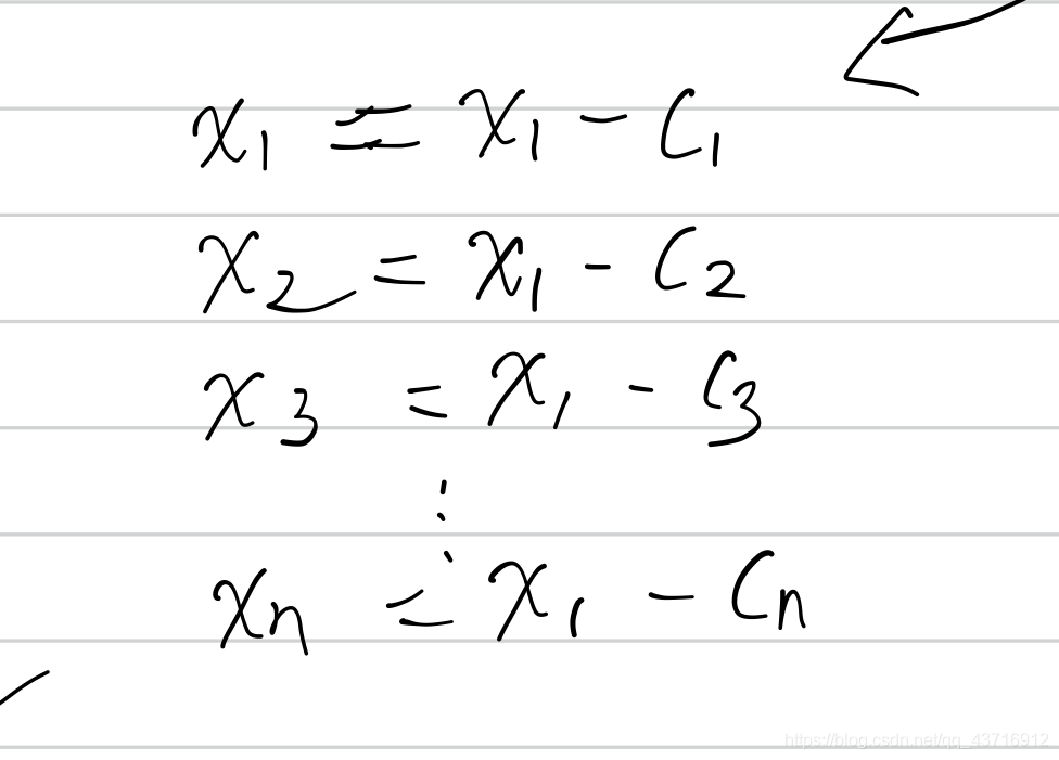
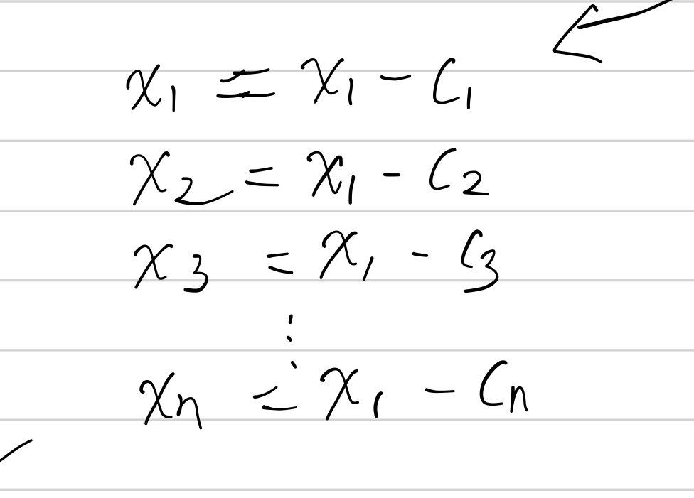
这里是经典的中位数性质:把c1,c2,c3 — - cn,看为坐标轴上点,x1为不确定的点
求|x1|+|x2|+ - - -+|xn| = |x1-c1| + |x2-c2| + |xn-cn|
等价与分别与c1,c2,c3—cn的中位数,相减求绝对值再相加
代码
#include<bits/stdc++.h>
using namespace std;
const int N=1e6+100;
typedef long long ll;
ll a[N],sum[N];
ll c[N];
int n;
int main()
{
cin>>n;
for(int i=1;i<=n;i++)
cin>>a[i];
for(int i=1;i<=n;i++) sum[i]=sum[i-1] + a[i];
ll avg = sum[n] / n;
c[1]=0;
for(int i=2;i<=n;i++)
{
c[i] = sum[i-1] - (i-1)*avg ;
}
sort(c+1,c+1+n);
ll res=0;
for(int i=1;i<=n;i++)
res += abs(c[i] - c[(n+1)/2]);
cout<<res<<endl;
return 0;
}
二维均分纸牌问题
题目链接
思路
左右交换:行总和是不变的、列总和变化
上下交换:列总和上不变的、行总和变化
先左右交换:求一次环形均分纸牌,再求上下交换的环形均分纸牌
代码
#include <cstdio>
#include <cstring>
#include <algorithm>
using namespace std;
typedef long long LL;
const int N = 100010;
int row[N], col[N], s[N], c[N];
LL work(int n, int a[])
{
for (int i = 1; i <= n; i ++ ) s[i] = s[i - 1] + a[i];
if (s[n] % n) return -1;
int avg = s[n] / n;
c[1] = 0;
for (int i = 2; i <= n; i ++ ) c[i] = s[i - 1] - (i - 1) * avg;
sort(c + 1, c + n + 1);
LL res = 0;
for (int i = 1; i <= n; i ++ ) res += abs(c[i] - c[(n + 1) / 2]);
return res;
}
int main()
{
int n, m, cnt;
scanf("%d%d%d", &n, &m, &cnt);
while (cnt -- )
{
int x, y;
scanf("%d%d", &x, &y);
row[x] ++, col[y] ++ ;
}
LL r = work(n, row);
LL c = work(m, col);
if (r != -1 && c != -1) printf("both %lld\n", r + c);
else if (r != -1) printf("row %lld\n", r);
else if (c != -1) printf("column %lld\n", c);
else printf("impossible\n");
return 0;
}
posted on
浙公网安备 33010602011771号