来源商业新知网,原标题:函数分类大PK:Sigmoid和Softmax,分别怎么用?
设计模型执行分类任务(如对胸部X光检查到的疾病或手写数字进行分类)时,有时需要同时选择多个答案(如同时选择肺炎和脓肿),有时只能选择一个答案(如数字“8”)。本文将讨论如何应用Sigmoid函数或Softmax函数处理分类器的原始输出值。
神经网络分类器
分类算法有很多种,但本文讨论的内容只限于神经网络分类器。分类问题可通过不同神经网络进行解决,如前馈神经网络和卷积神经网络。
应用Sigmoid函数或Softmax函数
神经网络分类器最终结果为某一向量,即“原始输出值”,如[-0.5, 1.2, -0.1, 2.4],这四个输出值分别对应胸部X光检查后发现的肺炎、心脏肥大、瘤和脓肿。但这些原始输出值是什么意思?
将输出值转换为概率可能更容易理解。比起看似随意的“2.4”,患有糖尿病的可能性为91%,这种说法更便于患者理解。
Sigmoid函数或Softmax函数可以将分类器的原始输出值映射为概率。
下图显示了将前馈神经网络的原始输出值(蓝色)通过Sigmoid函数映射为概率(红色)的过程:
然后采用Softmax函数重复上述过程:
如图所示,Sigmoid函数和Softmax函数得出不同结果。
原因在于,Sigmoid函数会分别处理各个原始输出值,因此其结果相互独立,概率总和不一定为1,如图0.37 + 0.77 + 0.48 + 0.91 = 2.53。
相反,Softmax函数的输出值相互关联,其概率的总和始终为1,如图0.04 + 0.21 + 0.05 + 0.70 = 1.00。因此,在Softmax函数中,为增大某一类别的概率,其他类别的概率必须相应减少。
Sigmoid函数应用:
以胸部X光检查和入院为例
胸部X光片 :一张胸部X光片能够同时显示多种疾病,因此胸部X射线分类器也需要同时显示多种病征。下图为一张显示肺炎和脓肿的胸部X光片,在右侧的标签栏中有两个“1”:
入院 :目标是根据患者的健康档案,判断该患者将来入院的可能性。因此,分类问题可设计为:根据诊断可能导致患者未来入院的病症(如果有的话),对该患者现有的健康档案进行分类。导致患者入院的疾病可能有多种,因此答案可能有多个。
图表 :下面两个前馈神经网络分别对应上述问题。在最后计算中,由Sigmoid函数处理原始输出值,得出相应概率,允许多种可能性并存——因胸部X射线可能反映出多种异常状态,则患者入院的病因可能不止一种。
Softmax函数应用:
以手写数字和Iris(鸢尾花)为例
手 写数字 :在区别手写数字(MNIST数据集:https://en.wikipedia.org/wiki/MNIST_database)时,分类器应采用Softmax函数,明确数字为哪一类。毕竟,数字8只能是数字8,不能同时是数字7。
Iris :Iris数据集于1936年引入(https://en.wikipedia.org/wiki/Iris_flower_data_set),一共包含150个数据集,分为山鸢尾、杂色鸢尾、维吉尼亚鸢尾3类,每类各有50个数据集,每个数据包含花萼长度、花萼宽度、花瓣长度、花瓣宽度4个属性。
以下9个示例摘自Iris数据集:
数据集中没有任何图像,但下图的杂色鸢尾(https://en.wikipedia.org/wiki/Iris_flower_data_set#/media/File:Iris_versicolor_3.jpg),可供你欣赏:
Iris数据集的神经网络分类器,要采用Softmax函数处理原始输出值,因为一朵鸢尾花只能是某一个特定品种——将其分为几个品种毫无意义。
关于“e”的注解
要理解Sigmoid和Softmax函数,应先引入 “e”。在本文中,只需了解e是约等于2.71828的数学常数。
下面是关于e的其他信息:
• e的十进制表示永远存在,数字出现完全随机——类似于pi。
• e常用于复利、赌博和某些概率分布的研究中。
• 下面是e的一个公式:
但e的公式不止一个。其计算方法有多种。
有关示例:https://www.intmath.com/exponential-logarithmic-functions/calculating-e.php
• 2004年,谷歌公司首次公开募股达2,718,281,828美元,即“e百万美元”。
• 维基百科中人类历史上著名的十进制数字e的演变
(https://en.wikipedia.org/wiki/E_%28mathematical_constant%29#Bernoulli_trials),从1690年的一位数字开始,持续到1978年的116,000位数字:
Sigmoid函数和Softmax函数
Sigmoid =多标签分类问题=多个正确答案=非独占输出(例如胸部X光检查、住院)
• 构建分类器,解决有多个正确答案的问题时,用Sigmoid函数分别处理各个原始输出值。
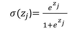
• Sigmoid函数如下所示(注意e):
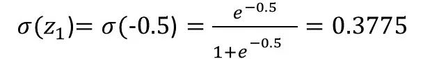
在该公式中,σ表示Sigmoid函数,σ(zj)表示将Sigmoid函数应用于数字Zj。 “Zj”表示单个原始输出值,如-0.5。 j表示当前运算的输出值。如果有四个原始输出值,则j = 1,2,3或4。在前面的例子中,原始输出值为[-0.5,1.2,-0.1,2.4],则Z1 = -0.5,Z2 = 1.2,Z3 = -0.1,Z4 = 2.4。
所以,
Z2,Z3、Z4 的计算过程同上。
由于Sigmoid函数分别应用于每个原始输出值,因此可能出现的输出情况包括:所有类别概率都很低(如“此胸部X光检查没有异常”),一种类别的概率很高但是其他类别的概率很低(如“胸部X光检查仅发现肺炎”),多个或所有类别的概率都很高(如“胸部X光检查发现肺炎和脓肿”)。
下图为Sigmoid函数曲线:
https://en.wikipedia.org/wiki/Sigmoid_function#/media/File:Logistic-curve.svg
Softmax =多类别分类问题=只有一个正确答案=互斥输出(例如手写数字,鸢尾花)
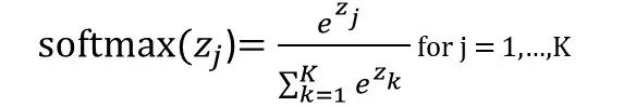
• 构建分类器,解决只有唯一正确答案的问题时,用Softmax函数处理各个原始输出值。
• Softmax函数的分母综合了原始输出值的所有因素,这意味着,Softmax函数得到的不同概率之间相互关联。
• Softmax函数表述如下:
除分母外,为综合所有因素,将原始输出值中的e ^ thing相加,Softmax函数与Sigmoid函数差别不大。换言之,用Softmax函数计算单个原始输出值(例如Z1)时,不能只计算Z1,分母中的Z1,Z2,Z3和Z4也应加以计算,如下所示:
Softmax函数的优势在于所有输出概率的总和为1:
区分手写数字时,用Softmax函数处理原始输出值,如要增加某一示例被分为“8”的概率,就要降低该示例被分到其他数字(0,1,2,3,4,5,6,7和/或9)的概率。
Sigmoid和Softmax的其他示例
总结
• 如果模型输出为非互斥类别,且可以同时选择多个类别,则采用Sigmoid函数计算该网络的原始输出值。
• 如果模型输出为互斥类别,且只能选择一个类别,则采用Softmax函数计算该网络的原始输出值。
















