94. 二叉树的中序遍历
给定一个二叉树的根节点 root ,返回 它的 中序 遍历 。
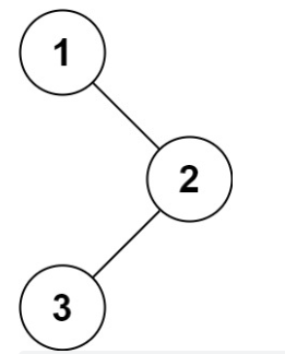
示例 1:

输入:root = [1,null,2,3]
输出:[1,3,2]
点击查看代码
def inorderTraversal(self, root):
res = []
def inorder(node):
if not node:
return
inorder(node.left)
res.append(node.val)
inorder(node.right)
inorder(root)
return res
点击查看pytcharm代码
class Solution:
def inorderTraversal(self, root):
res = []
def inorder(node):
if not node:
return
inorder(node.left)
res.append(node.val)
inorder(node.right)
inorder(root)
return res
if __name__ == '__main__':
root = TreeNode(1, None, TreeNode(2, TreeNode(3)))
solution = Solution()
print(solution.inorderTraversal(root))
点击查看出错的代码
# class TreeNode:
# def __init__(self, val=0, left=None, right=None):
# self.val = val
# self.left = left
# self.right = right
# class Solution:
# def inorderTraversal(self, root):
# res=list()
# def midorder(root:TreeNode):
# if not root:
# return
# midorder(root.left)
# res.append(root.val)
# midorder(root.right)
# midorder(root)
# return res
# if __name__ == '__main__':
# root = [1, null, 2, 3]
# solution = Solution()
# print(solution.inorderTraversal(root))
# 首先,root变量被初始化为列表,但它应该被初始化为TreeNode类的实例。
# 第二,根列表中的null在Python中不是有效值。在Python中,None用于表示缺少值。
# 第三,在inoverderTraversal方法中,使用root作为参数调用midorder,但代码中没有定义midorder。看起来这个方法是为了成为一个递归的帮助函数,但是它没有被正确定义。

浙公网安备 33010602011771号