【排序算法】1.冒泡排序--BubbleSort
【排序算法】1.冒泡排序--BubbleSort
算法可视化

- 每次比较相邻值,将较小值移位。
- 每次将数组中最大值/最小值选出,放在数组的最末端/最前端。
- 每次排序排除已排序元素。
代码实现(以Java为例)
public class BubbleSort { //随机数个数 static int size=10; public static void main(String[] args) { //定义随机数数组 int[] arr = new int[size]; //赋值 for (int m=0;m<size;m++){ arr[m]= (int) (Math.random()*100); } //排序前 System.out.print("排序前数组:"); for (int a:arr ) { System.out.print(a+" "); } System.out.println();
//排序过程 for (int i = 0; i < arr.length - 1; i++) { for (int j=0;j<arr.length-1-i;j++){ if (arr[j]>arr[j+1]){
//交换元素位置 int c=arr[j]; arr[j]=arr[j+1]; arr[j+1]=c; } } }
//排序后数组 for (int a:arr ) { System.out.print(a+" "); } } }
算法分析:
- 由此可见:N个数字要排序完成,总共进行N-1趟排序,每i趟的排序次数为(N-i)次,所以可以用双重循环语句,外层控制循环多少趟,内层控制每一趟的循环次数
- 冒泡排序的优点:每进行一趟排序,就会少比较一次,因为每进行一趟排序都会找出一个较大值。如上例:第一趟比较之后,排在最后的一个数一定是最大的一个数,第二趟排序的时候,只需要比较除了最后一个数以外的其他的数,同样也能找出一个最大的数排在参与第二趟比较的数后面,第三趟比较的时候,只需要比较除了最后两个数以外的其他的数,以此类推……也就是说,没进行一趟比较,每一趟少比较一次,一定程度上减少了算法的量。
- 时间复杂度
-
- 如果我们的数据正序,只需要走一趟即可完成排序。所需的比较次数C和记录移动次数M均达到最小值,即:Cmin=n-1;Mmin=0;所以,冒泡排序最好的时间复杂度为O(n)。
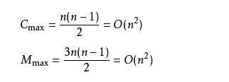
- 如果很不幸我们的数据是反序的,则需要进行n-1趟排序。每趟排序要进行n-i次比较(1≤i≤n-1),且每次比较都必须移动记录三次来达到交换记录位置。在这种情况下,比较和移动次数均达到最大值:

-
- 综上所述:冒泡排序总的平均时间复杂度为:O(n2) ,时间复杂度和数据状况无关。

浙公网安备 33010602011771号