数列极限的定义
1.定义


例子

即,定义为:

注意:
1.数列极限的“ ε-N”语言,即满足这些条件为极限

2.若数列{Xn}不存在极限,就称{Xn}发散

3.ε的作用主要体现在任意小,它是用来刻画Xn趋向于a的程度的,太大不行。常对ε做一些大小的限制,都没关系,但注意左端永远是大于0

4.对于给定的ε,N与ε有关,一般来说ε越小,N越大,但N不是唯一的,存在就可以了
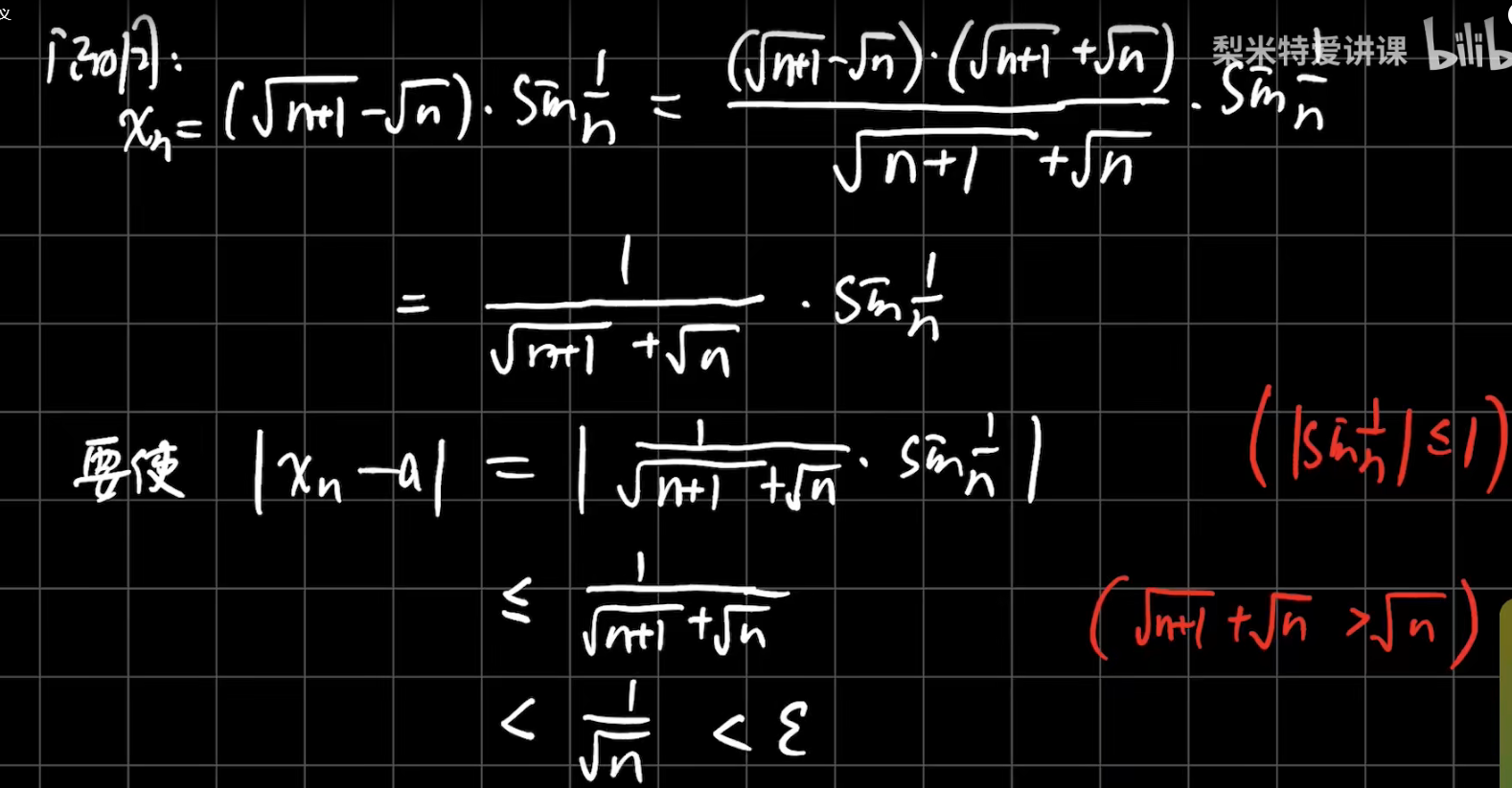
例题


注:在求解不等式时,往往可以用不等式扩大的技巧,方便寻找N。
|Xn-a| < G(n) < ε (当G(n) < ε时,一定有|Xn-a| < ε)
用这个思想再看例题2






浙公网安备 33010602011771号