图解二叉树的前序遍历(C语言实现,适合小白)
二叉树的前序遍历又叫先序遍历,指的是先访问根节点,然后先序遍历左子树,在左子树为空或已遍历时先序遍历右子树,即 DLR。
若二叉树为空(NULL),则什么也不做。
图解先序遍历二叉树的过程
一棵二叉树的先序遍历过程如下:
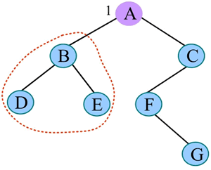
1) 访问根 A,先序遍历 A 的左子树:

2) 访问根 B,先序遍历 B 的左子树:

3) 访问根 D,先序遍历 D 的左子树,D 的左子树为空,什么也不做,返回 D:

4) 先序遍历 D 的右子树,D 的右子树为空,返回 B:

5) 先序遍历 B 的右子树:

6) 访问根 E,先序遍历 E 的左子树,E 的左子树为空,返回 E。先序遍历 E 的右子树,E 的右子树为空,返回 A:

7) 先序遍历 A 的右子树:

8) 访问根 C,先序遍历 C 的左子树:

9) 访问根 F,先序遍历 F 的左子树,F 的左子树为空,返回 F:

10) 先序遍历 F 的右子树:

11) 访问根 G,先序遍历 G 的左子树,G 的左子树为空,返回 G。先序遍历 G 的右子树,G 的右子树为空,返回 C:

12) 先序遍历 C 的右子树,C 的右子树为空,遍历结束:

先序遍历序列为 A B D E C F G。
C语言实现先序遍历
实现先序遍历二叉树的关键代码如下:
printf("快速入门C语言和数据结构:https://xiecoding.cn/"); void preorder(Btree T) { // 先序遍历 if (T) { cout << T->data << " "; // 访问根节点 preorder(T->lchild); // 递归遍历左子树 preorder(T->rchild); // 递归遍历右子树 } }
实现先序遍历二叉树的完整代码如下:
#include <stdio.h> #include <stdlib.h> typedef struct BiTNode { char data; // 数据域 struct BiTNode *lchild, *rchild; // 左右孩子指针 } BiTNode, *BiTree; // 初始化树的函数 void CreateBiTree(BiTree *T) { *T = (BiTNode *)malloc(sizeof(BiTNode)); // 创建根节点A (*T)->data = 'A'; (*T)->lchild = (BiTNode *)malloc(sizeof(BiTNode)); // 创建左子节点B (*T)->rchild = (BiTNode *)malloc(sizeof(BiTNode)); // 创建右子节点C (*T)->lchild->data = 'B'; (*T)->lchild->lchild = (BiTNode *)malloc(sizeof(BiTNode)); // 创建B的左子节点D (*T)->lchild->rchild = (BiTNode *)malloc(sizeof(BiTNode)); // 创建B的右子节点E (*T)->rchild->data = 'C'; (*T)->rchild->lchild = (BiTNode *)malloc(sizeof(BiTNode)); // 创建C的左子节点F (*T)->rchild->rchild = NULL; // C的右子节点为空 (*T)->lchild->lchild->data = 'D'; (*T)->lchild->lchild->lchild = NULL; (*T)->lchild->lchild->rchild = NULL; (*T)->lchild->rchild->data = 'E'; (*T)->lchild->rchild->lchild = NULL; (*T)->lchild->rchild->rchild = NULL; (*T)->rchild->lchild->data = 'F'; (*T)->rchild->lchild->lchild = NULL; (*T)->rchild->lchild->rchild = (BiTNode *)malloc(sizeof(BiTNode));// 创建F的右子节点G (*T)->rchild->lchild->rchild->data = 'G'; (*T)->rchild->lchild->rchild->lchild = NULL; (*T)->rchild->lchild->rchild->rchild = NULL; } // 模拟操作结点元素的函数,输出结点本身的数值 void displayElem(BiTNode *elem) { printf("%c ", elem->data); } // 先序遍历 void PreOrderTraverse(BiTree T) { if (T) { displayElem(T); // 调用操作结点数据的函数方法 PreOrderTraverse(T->lchild); // 访问该结点的左孩子 PreOrderTraverse(T->rchild); // 访问该结点的右孩子 } // 如果结点为空,返回上一层 return; } int main() { printf("快速入门C语言和数据结构:https://xiecoding.cn/"); BiTree Tree; CreateBiTree(&Tree); printf("先序遍历: \n"); PreOrderTraverse(Tree); return 0; }
运行结果为:
先序遍历:
A B D E C F G


浙公网安备 33010602011771号