# 社会计算《网络、群体与市场》 笔记 11 流行病模型
主要内容
疾病传播模型的特点
分支过程
SIR模型
SIS模型
SISR模型
疾病传播模型
- 接触网络
- 传染概率
- 疾病特征

分支过程

分支过程形成树结构接触网络,最初一个人携带病菌进入人群,以一个独立的概率 p 传染给遇到的每个人。假设疾病感染期间每个人遇到 k 个其他人
对于分支模型,有两种可能的发展趋势

有的情况下,随着层数的往下,被传染的人越来越多
有的情况下,随着层数的往下,被传染的人越来越少
基本再生数
定义:由单一个体引起的新发病例数期望值,记为R0,\(R0=p\times k\)
断言:如果R0<1,则疾病将以概率1在有限的过程后消失。如果R0> 1,则疾病持续在每一波以 >0 的概率至少感染一个人
因为\(R0=p \times k\),当R0接近于1时,稍微改变接触人数k或传染概率会对结果产生很大影响。R0接近于1时有一个“刀刃”特性
如果R0略低于1,稍微增加传染概率p;结果可能会使R0 最终高于1,造成一个突然的疾病爆发
略微减少疾病的传染性,可以将R0减小到1以下,消除疾病大范围流行的风险
结论:当门槛值R0=1附近,社会应该付出努力减小基本再生数(隔离,减少接触就是措施之一)
SIR模型
SIR模型可以描述更一般性网络结构的传播情况,接触网络中的节点在流行病传播过程中经历三个状态
- 易感状态(S):易感者,容易被一个患病邻居节点感染
- 传染状态(I):患病者,以一定的概率将疾病传染给处于易感状态的邻居
- 移出状态(R):痊愈并免疫者,当一个节点经历了完整的病期康复后,就不再会被传染,也不会再对其他节点造成威胁,相当与从接触网络中移出了
SIR模型描述
SIR模型流行病的传播过程取决于接触网络结构,以及两个量值:p(传染的概率)和 tI(传染期的长度)
- 最初,一些节点处于状态 I,所有其他节点处在状态 S。
- 每个进入状态 I 的节点v在固定的步骤 tI 期间具有传染性。在 tI 的每一步,v 以概率 p 将疾病传染给它的处于易感状态的邻居
- 经过 tI步后,节点 v 进入移出状态(R),成为网络中的惰性节点,不会再被传染,也不会向其他人传播
SIS模型
SIR模型只适用于一次患病终身免疫的情况。SIS模型描述了更一般的疾病传播。节点结束传染状态后再回到易感状态,节点在 S 和 I 两种状态中交替,因此得名SIS模型
- 最初,一些节点处于状态 I,其余节点处于状态 S
- 每个进入状态 I 的节点 v 在 tI 期间内具有传染性,在 tI的每一步,节点以概率 p 将疾病传染给其处在易感状态的邻居
- 经过 tI 步后,感染节点不再具有传染性,返回状态 S
SISR模型
结合SIR和SIS,疾病有暂时免疫特性:受传染节点恢复后回暂短地经过R状态,然后再次进入S状态——SIRS模型
- 开始某些节点在 I 状态,其他在S状态
- 进入 I 状态的节点v在固定时间 tI 内具有传染性,在 tI 的每一步以概率p将疾病传播给易感状态的邻居
- 经过 tI 步后,节点进入状态R,经过 tR 后再次回到S状态传染I,易感S,移出R疾病传播过程受量值 p、tI 以及 tR 的影响,同时受到网络结构的影响
在小世界上传染病的震荡效应
- 当p较小时:0~0.5,网络呈现较高的有序的聚集特点,疾病周期会在一个局部区域内完成,之后进入免疫期(不活跃期)
- 当p值较大时:>0.5,弱连接打破了有序的聚集区域,刚刚痊愈的个体可能又通过一个弱连接被再次感染。因此整个网络成同步状态
配套练习
21.1
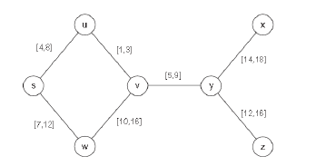
假设你正在研究一群人中一种罕见的疾病传播行为,如图 21. 1 所示。这些人的联系方式如图 21.11 所描述,每条边都包含一个时间段,表示联系发生的时间范围。我们假设观察期从 0 到 20。
(a)假设节点 s 在时刻 0 是唯一的患病个体。在时刻 20,哪些节点可能感染上这种疾病?
(b)假设你发现,其实所有节点都在时间点 20 患病。你相当肯定这种疾病不可能有其他来源,所以你怀疑,是否某个时间段的开始或结束时间搞错了。你能否找到一个单一的数,指定某个时间段的开始或结束时间,这样改变后,这种疾病不可能在网络中从节点 s 传染到所有其他节点?

答:
(a)s、u、v、w
(b)对于现在的图而言,由于 v 无法将疾病传给 y,导致无法令所有人患病。
若想使 v 将疾病传递给 y,有如下几种修改方式:
1)修改 s->u 的区间起点,使其小于 3。此时,疾病由 s->u->v->y,从而继续传递给 x、z。
2)修改 u->v 的区间终点,使其大于 4。此时,疾病由 s->w->v->y,从而继续传递给 x、z。
3)修改 w->v 的区间起点,使其小于 9。此时,疾病由 s->w->v->y,从而继续传递给 x、z。
4)修改 v->y 的区间终点,使其大于 10。此时,疾病由 s->w->v->y,从而继续传递给 x、z。

浙公网安备 33010602011771号