# 社会计算《网络、群体与市场》 笔记 7 万维网结构
主要内容
万维网信息的组织方式
超文本,超链
网页网站
- 导航性、事务性、主题性
万维网结构
- 有向图
- 强连通分量
- 领结结构
- 领结结构的计算
信息的组织方式
对于动态变化的信息单元的集合,组织要满足以下特点
- 便于利用(查找,使用)
- 索引,目录,元信息
- 便于维护
- 维护的方式
- 集中式
- 分布式‘
杜威分类体系是重要的分类体系
杜威分类体系
杜威十进分类法
杜威十进分类法(Dewey Decimal Classification,DDC)是广为全球各地图书馆使用的分类法。这个分类系统最早在1873年时Melvil Dewey有此分类构想,而于1876年正式出版。目前,负责DDC出版的是Forest Press,而它于1988年成为OCLC下的一个部门。DDC已被全球超过135个国家的图书馆使用,并且被翻译逾30种语言,包括阿拉伯文、中文、法文、希腊文、希伯来文、意大利文、波斯文、俄文、西班牙文及土耳其文等。在美国,有95%的公共图书馆及学校图书馆、25%的学院及大学图书馆及20%的专门图书馆使用DDC。此外,DDC更能用来组织网际网络上的各种资源。
DDC共出版两种版本形式:完整版及节缩版,其中节缩版主要是提供馆藏量低于20,000册的图书馆使用。完整版目前最新的是1996年出版的第21版,共计四大册,内容分为九大部分:第一册中主要是描述21版新增特色、杜威十进分类法简介及使用方法、名词解释及索引、复分表及20版与21版之间之异同比较;第二册及第三册则是分类法的全文;第四册则是提供相关索引(Relative Index)及实际进行分类时之指引。\(^{[1]}\)
网页
- 由地址定义的网页
- 由超链接实现的网页之间的关系
此种方法保证了web信息的可扩展性
万维网的结构模型
有向图
有向图的定义:两节点之间边的方向一致的路径
强连通有向图:任何两节点之间都存在两个方向的有向路径
强连通分量:尽可能大的节点子集,其中,每个节点都有到其中任何另一节点的有向路径

通常,强连通分量没有连通分量直观。
以有向图为模型的万维网结构
万维网包括一个超大强连通分量,加上其他部分,显示出一种形象的结构
- 链入,链出,卷须(管道),游离

配套习题
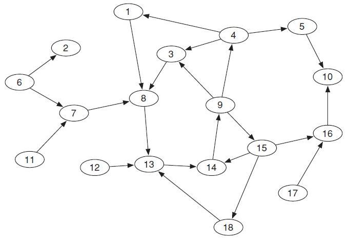
13.1
图13. 1 由18 个网页链接构成一个有向图。图中哪些节点集合构成最大的强连通分量(SCC)?将这个SCC 看成是超大SCC,哪些节点属于13.4 节中定义的链入部分(IN)和链出部分(OUT)?哪些节点属于卷须(Tendril)部分?
答:
13.3
练习题2 讨论了如何通过添加或移除有向图的边来改变领结结构的各组成部分。进一步讨论这种变化的幅度也非常有意思。
(a)试描述一个实例,删除图中的一条边,可以使最大强连通分量减少至少1000 个节点。(不必将整个图形画出来,可以通过语言描述,需要时画出必要的部分。)
(b)试描述一个实例,图中增加一条边,可以使链出部分(OUT)减少至少1000 个节点。(同样,解释并说明实际的变化,不必画出整幅图。)
答:
(a)有很多类似的实例:
1)一个由两个非交强连通分量A 和B 构成的强连通分量,A 和B 都包含至少1000 个点,A 和B 之间通过A 的某个点a 和B 的某个点b 双向相连,故删除a 到b 的边或b 到a 的边即可。
2)强连通分量中有一个包含至少1000 个点的环,且环中存在出入度均为1 的两个相邻的点a 和b,故删除a 和b 的边即可。(b)有很多类似的实例:
1)两个非交的强连通分量A 和B,A 和B 都包含至少1000 个点,A 的某个点a 和B 的某个点b 单向相连,故增加a 和b 之间另一方向的边即可。
2)将链出部分中的某个点与最大强连通分量中的某个点相连,形成至少1000 个点的环即可
参考资料
- [杜威十进分类法 具体是什么_百度知道 (baidu.com)(https://zhidao.baidu.com/question/10470070.html)


浙公网安备 33010602011771号