# 社会计算《网络、群体与市场》 笔记 6 网络关系中的权力
主要内容
如何判断网络上节点的权力
社会网络:节点的权力 & 关系上的利益
网络交换实验的一般性描述
纳什议价解和终极博弈
稳定性和平衡性:稳定性指不可能有人“破坏”已有的结果,平衡性指关系本身也达到均衡
节点重要性的评价标准
节点的度数
节点的度数(degree)是重要性的直接指标
对于网页,节点是网页,边是网页之间的超链,每个结点的出度指向对应网页的超链数,节点的入度指向对应网页的链接数。入度是重要性的一种体现。
在社会网络中,关系中两个人的权力更被广泛地讨论,对于同一个节点,对不同邻居展现的权力不一样。
邻居的关系

在这幅图中,权力最大的是4,2,其次是3,权力最小的是1,5
原因:其中1,5只有一个连接,2,4,3有两个连接
2,4比3大的原因是s于2,4相连,而2,4除了3之外,还有外部选项
纳什议价解

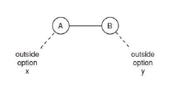
外部选项:网络其他部分的影响即放弃当前的匹配关系后能得到的最大好处。(退路的价值)
假设关系上的总资源为1,假设此时A有外部选项x,B有外部选项y
0≤x<1,0≤y<1,x+y<1
则根据纳什的理论,在两者交易时,除了两者继续保持已有的外部选项数值外,对于关系中x,y之外的1-x-y,两者应平分这一部分。(平分剩余)
纳什行为的实际情况
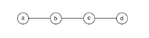
对于这样的三节点路径,

两边节点(1)别无选择(x=0),中间节点(2)具有绝对支配地位,似乎可以使A的份额压缩到趋于0
但实际的实验结果中,得到类似于(1/6, 5/6)的分配关系。
在趋于极端的情况下,“金钱至上”不是人类的典型行为
“回报”在均衡中的综合含义
稳定性和平衡性
匹配结果的稳定性
不稳定因素:不在结果中的一条边,其两端节点的价值之和小于1
对小于1的解释:如果不在结果的一条边小于1,则这条边成为结果后原有的两者会得到更多的收益,如下文中的(c)图,如果C转而选择B交易会有更大的收益(大于1/4小于1/2),同理,B选择C也是
稳定结果:不存在不稳定因素的结果

匹配结果的平衡性
平衡结果:结果中匹配的每条边上的价值划分都满足纳什议价解

平衡的结果一定稳定(属于同一条边外部选项的和为1,此时节点的值大于外部选项)
作业
12.5
设按照如图 12. 8 所示的网络进行一个网络交换试验,采用 1-交换规则,每条边上放$10。
(a)实验执行了一段时间后,实验人员改变网络:引入两个新节点 e 和 f,并让两个新人加入。节点 e 连到 b,节点 f 连到 c。
新的一轮实验在这 6 节点网络上进行。对比最初 4 节点的情况,解释你对参加者相对权力变化的认识,不需要给出节点得到的实际钱数。
(b)实验人员决定再次改变网络,节点不变,但增加一条 e-f 边(其他的边也不变)。
新的一轮实验在这改变后的 6 节点网络上进行。对比(a)的情况,解释你对参加者相对权力变化的认识,不需要给出节点得到的实际钱数。

答:
(a)b、c 的权力将变大,a、d 的权力将变小。因为对于 b、c 而言,分别可与 e、f 交换,从而造成 a、d 被抛弃的可能性更大。
(b)b、c 的权力将变小,a、d、e、f 的权力将变大。因为加入 e-f 边后,e、 f 将不再分别只能与 b、c 交换:e、f 之间可以进行交换。
我们可以看出,关系都是此消彼长的
12.6
(a) 设运行两组网络交换理论实验,采用 1-交换规则,分别在如图 12. 9所示的 3-节点路径和 4-节点路径上进行。在哪组实验中 b 会挣到较多的钱?简要解释,不需给出实际钱数。

(b) 设按照如图 12. 10 所示的网络进行一个网络交换试验,采用 1-交换规则。你预期哪个(或哪些)节点挣的钱会最多(即的到最好的交换结果)。
进一步地,你认为图 12.16 中最有权力节点的优势更加类似于本题(a)中 3-节点路径中的 b,还是 4-节点路径中的 b?简要解释你的答案,不需给出节点得到的实际钱数。

答:
(a)中的 b 挣得较多。因为在(a)图中,b 处于一个中心位置,可以与 a和 c 都进行交易,有两个选择。而在(b)图中,由于对称性,b 与 c 的权力是对等的,c 可以选择与 d 进行交易而不与 b 进行交易,这就使得 b 的权力相对减小了。
(b) B、C、D 三点赚得会较多。首先由于对称性可知三者处于相等的地位上,权力相当。另外,剩下的三个节点分别只有一个可以交易的对象,而 B、C、D三点则除了可以与剩下的节点进行交易外,还有可能在 B、C、D 之间构成交易,所以最终三者的权力大于其他节点且处于平等的地位,三个节点赚的最多。类似与 4-节点路径。

浙公网安备 33010602011771号