# 社会计算《网络、群体与市场》 笔记 1 图论概述
本文为社会计算课程笔记,所用的教程为《网络、群体与市场》
written in 2021.6.11
1.内容概述
主要分四部分
-
图论
-
博弈论
-
网络结构的分析
-
网络结构推理
part1 图论简介
- Euler 开启了数学图论,抽象为顶点与边的集
- 图论是网络研究的基础
- 网络结构是理解复杂世界的关键
随机图理论(了解)
随机图(random graph)是一类重要的图。它是伴随有不确定性的图.按某种随机方式删去一个图G的某些节点或边而保留下来的图称为随机子图,又称随机图。G称为随机图的原始图。
随机图的性质与原始图及随机删除部分节点或边的方式有关。随机删除方式包括只删点、只删边和既删点又删边三种。研究较多的原始图有完全图和晶形图。若按某种删除方式得到的一类随机图看成是概率空间,则有关的图的不变量或参数就是该空间的随机变量。
从任一节点出发,按不过重复节点的原则,可随机走遍所有节点的图称为随机哈密顿图。从任一节点出发,按不过重复边的原则,可随机走遍所有边而回到出发点的图称为随机可迹图。若原始图为完全图,且按随机删边方式得到的任一随机图边数固定,则称这样的随机图为定边数随机图。若原始图为完全图,每条边删除的概率相同且各边的删除相互独立,则这种随机图称为定边密度随机图\(^{[1]}\)
ER 随机图模型
ER随机图模型,就是一种提供了一种规则,按照这种规则来产生随机图。
1.给定节点数量与边数的ER随机图模型G(n,M)
例如,在G(3,2)模型中,三个顶点和两个边可以构成的三个可能的图,每一个都以1/3的概率包含在内。
2.具有固定节点和连边概率的ER随机图模型 G(n,p)
这种方法是通过随机选取连接节点的方式来产生图。每个边产生的可能都是一个不受其他边影响的概率。 该模型中的参数p表示随机两点之间产生边的概率,p可以看作是一个加权函数。当p从0增加到1时,模型越来越多地包含具有更多边的图。 拥有n个节点、M个连边的所有图被输出的概率都是相同的。
- 连通性
- poisson分布
- 齐次特征
- 每个节点大约有相同的连接数
- 节点数不增加
随机图模型(不止是ER随机图模型)与现实世界还是很相关的。举一个简单的例子,我们在社交媒体平台微博中随机选取一个用户作为一个节点,将与其互为朋友的用户用边相连接。有研究表明,这种在社交媒体平台形成的网络结构特征类似于随机图。因此,了解随机图有助于我们理解小型社交网络的结构。\(^{[2]}\)
小世界实验
- 六度分离理论
- Kevin Bacon游戏
Granovetter弱连接的强度
寻找工作时,关系紧密的朋友的作用往往不如关系一般的作用。
有关图的概念
| 概念名称 | 概念解释 |
|---|---|
| 路 | 路径,连接两个节点的节点序列集合 |
| 路的长度 | 节点数-1,边的条数 |
| 距离 | 最短路径的长度 |
| 简单路径 | 路径上的点不相互重复 |
| 连通图 | 每两个节点之间都存在一条路 |
| 桥 | 具有特别性质的边,删除它后其两个端点之间就不再有路 |
| 捷径 | 也是一种边,删除它后两个端点之间的距离至少为3 |
| 二部图 | 节点可分为两组,且组内没有边 |
part1习题及答案
此部分的习题对应书中第二章1,2,3题
2.1
图论作为有效建模工具的原因之一即在于它的灵活性。许多大型系统都可以通过图论语言来总结该系统的属性,并用来系统地研究其结构。本章练习的第一部分,主要讨论上述过程的一个实例,该实例将引入一个关键节点(pivotal node)的概念。
首先,第 2 章所讲的两节点间最短路径可能为该节点间的最短距离。对与节点组 Y 和 Z,若 X 存在于 Y 和 Z 间所有最短路径,则称 X 为 Y 和 Z 间的关键节点(X 与 Y 和 Z 均不重合)。
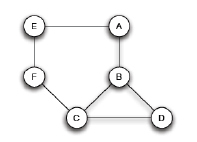
例如:在图 2. 1 中,节点 B 是节点对 A 和 C、A 和 D 的关键节点(注意:B 并不是节点对 D 和 E 的关键节点,因为 D 和 E 间存在两条不同的最短路径,而其中的一条(包含 C 和 F)并不通过 B。由此可见,B 并不存在于 D 和 E 间的所有最短路径)。另一个例子是:节点 D 并非图中任意节点对的关键节点。

(1)请列举一个图例,使其满足以下条件:该图中每个节点均为至少一个节点对的关键节点。请就你的答案给出合理解释。
(2)请列举一个图例,使其满足以下条件:该图中每个节点均为至少两个节点对的关键节点。请就你的答案给出合理解释。
(3)请列举一个图例,满足以下条件:该图中包含至少 4 个节点,并存在一个节点 X,它是图中所有不包括含 X 的节点对的关键节点。请就你的答案给出合理解释
答:
两个节点 Y 和 Z 之间的关键节点 X:X 存在于 Y 和 Z 之间的所有最短路径上。
(1)一个节点数大于或等于 5 的圈图(V-W-X-Y-Z-V)满足“每个节点均为至少一个节点对的关键节点”的要求。例如,对于 5-圈,W 和 Y 之间的最短路径只有一条(长度为 2),经过 X。其他类推。
(2)一个节点数大于或等于 7 的圈图(R-U-V-W-X-Y-Z-R)满足“每个节点均为至少两个节点对的关键节点”的要求。例如,对于 7-圈,W 和 Y 之间的最短路径只有一条(长度为 2),经过 X,V 和 Y 之间的最短路径只有一条(长度为 3),也经过 X。其他类推。
(3)以 X 为中心的 5 节点“星图”(A-X,B-X,C-X,D-X)满足要求,此时 X就是每个节点对的关键节点,任何两个节点之间的路径都经过它。
2.2
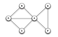
接下来的问题中,我们将引入一组相关定义,以帮助我们规范化“一些节点可在网络中起到“看门”的作用”这一概念。第一个定义内容如下:对于节点 X,若存在另两个节点 Y 和 Z,使 Y 和 Z 间的所有路径均通过 X,则称 X 为门卫(gatekeeper)。举例来说,图 2. 2 中,节点 A 即为一个看门节点,因为存在于节点 B 到 E 的所有路径中(除此之外,A 还存在于其他节点组间的所有路径中,比如 D 和 E 等)。
该定义具有一个“普遍”特点:因其需要我们纵观整个图,以确定某一特定节点是门卫。相比之下,另一“本地化”版本将上述定义的条件限定于只需观察一个节点的相邻节点。我们将之规范化,即有以下定义:我们定义一个节点 X 为局部门卫,若其满足以下条件:存在节点 X 的两个相邻节点,称为 Y 和Z,其中间没有任意边相连。(换句话说,X 为局部门卫的前提是,至少存在 X的两个相邻节点 Y 和 Z,满足 Y 和 Z 分别有边与 X 相连,但彼此并不相连的条件。)例如图 2. 2 所示,节点 A 同时满足门卫和局部门卫的条件,而节点 D 仅为局部门卫,却不满足门卫的条件。(注意:尽管 D 的两个相邻节点 B 和 C 彼此并没有边相连,但对于包括 B 和 C 在内的所有节点组之间,均存在一条不包含 D 的路径。)

综上所述,我们目前得到两个定义:门卫和局部门卫。每当我们讨论新的数学定义时,一个有效帮助我们理解定义的方法通常是先从典型例子入手,随后将之理论化,再尝试将该理论应用于其他例子。让我们按以上方法来讨论下面几道问题:
(1) 给出一个图例(包含解释),满足条件:该图中超过一半的节点为门卫
(2) 给出一个图例(包含解释),满足条件:该图中所有节点均不是门卫,但均为局部门卫。
答:
按照给出的定义,“门卫”和“局部门卫”的概念,可以与教材中的“桥” 与“捷径”类比。“门卫”亦即这样的节点,删除它,至少有两个原来之间存在路径的节点不再有路径;“局部门卫”则是这样的节点,删除它,至少有两个原来是其邻居的节点之间的距离不小于 2。根据这个理解,就有(1)5 个节点的路径图,A-B-C-D-E,其中 3 个节点(B、C、D)是门卫;(2)4 个节点的回路图,A-B-C-D-A,显然都不是门卫,因为任意两个节点之间都有两条独立的通路,而且每个节点都是局部门卫,因为任何一个节点的两个邻居节点之间都不存在一条边。
2.3
当我们试图就一个已知图中节点间的距离寻找一个单一的综合衡量标准时,有两个原始数量值得我们考虑。一个是直径,我们定义它为图中任意两节点之间的最大距离;另一个是平均距离,我们定义它为图中所有节点对间的平均距离。
在许多图中,上述两个数量在数值上非常接近。但以下的两个例子却可能是例外:
(1) 请给出一个直径比平均距离大三倍的图例;
(2)请根据你解答问题(a)的方法,说明你可以通过改变某一特定因数的大小,来控制直径比平均距离大的倍数。(换句话说,对于任意数字 c,你能否构造一个图,使其直径比平均距离大 c 倍?)
答:
在给定点和边资源的情况下,路径图\(P_m\) 的直径最长(m - 1),完全图\(K_m\)直径最短,为1。
所以我们不妨把这两种图组合起来,通过控制两个的比例,来达到任意比例的1<rate<m-1的效果。
参考资料
- 高炜. 随机图的Fibonacci数研究[J]. 云南师范大学学报:自然科学版, 2008, 28(1):31-33
- ER随机图模型 | 集智百科_nyi (sohu.com)

浙公网安备 33010602011771号