【期末复习】计算机网络 数据链路层
博主介绍:
– 我是了 凡 微信公众号【了凡银河系】期待你的关注。未来大家一起加油啊~
前言
在上一层“物理层”我们了解到物理层的作用是负责传送0和1的电信号。实物有网卡、网线、集线器、中继器、调制解调器等。
而数据链路层作为计算机网络中OSI模型中的“二层”,是在物理层和网络层之间。数据链路层在物理层提供的服务的基础上向网络层提供服务。
数据链路层使用的信道主要有以下两种类型:
- 点对点信道。这种信道使用一对一的点对点通信方式。
- 广播信道。这种信道使用一对多的广播通信方式,因此过程毕竟复杂。广播信道上连接的主机很多,因此必须使用专用的共享信道协议来协调这些主机的数据发送。

文章目录
3.1 使用点对点信道的数据链路层
3.1.1 数据链路和帧
- 链路(link)是一条无源的点到点的物理线路段,中间没有任何其他的交换结点。
- 一条链路只是一条通路的一个组成部分。
- 数据链路(data link)除了物理线路外,还必须有通信协议来控制这些数据的传输。若把实现这些协议的硬件和软件加到链路上,就构成了数据链路。
- 现在最常用的方法是使用适配器(即网卡)来实现这些协议的硬件和软件。
- 一般的适配器都包括了数据链路层和物理层这两层的功能。
也有人采用另外的术语。这就是把链路分为物理链路和逻辑链路。
- 物理链路就是上面所说的链路。
- 逻辑链路就是上面的数据链路,是物理链路加上必要的通信协议。
- 早期的数据通信协议曾叫作通信规程(procedure)。因此在数据链路层,规程和协议是同义语。

数据链路层像个数字管道
- 常常在两个对等的数据链路层之间画出一个数字管道,而在这条数字管道上传输的数据单位是帧。

- 数据链路层不必考虑物理层如何实现比特传输的细节。甚至还可以更简单地设想是沿着两个数据链路层之间的水平把帧直接发送到对方。
3.1.2 三个基本问题
- 数据链路层协议有许多种,但有三个基本问题则是共同的。这三个基本问题是:
- 封装成帧
- 透明传输
- 差错控制
封装成帧
问题:为什么要有封装成帧呢?封装成帧都有哪些问题?
因为在传输数据时是以数据流的方式进行传输的,所以需要进行封装。
但是给了很多数据流无法进行分别每一部分,所以为了能够确定数据的开始部分和结束部分,所以有了帧定界(也就是所谓的首部和尾部)
- 封装成帧就是在一段数据的前后分别添加首部和尾部,然后就构成了一个帧。确定帧的界限。
- 首部和尾部的一个重要作用就是进行帧定界。

之后应该有个问题,如何进行帧定界?
这里用控制字符进行帧定界的方法举例
- 当数据是由可打印的ASCII码组成的文本文件时,帧定界可以使用特殊的帧定界符。
- 控制字符 SOH(Start Of Header)放在一帧的最前面,表示帧的首部开始。另一个控制字符EOT(End Of Transmission)表示帧的结束。

透明传输
但是这个时候应该会想到一个问题,如果帧的数据部分刚好和帧的开始和结束相等这样就会错误找到帧的边界,那要如何解决这个问题呢,也可以称为透明传输的问题?

解决透明传输的问题
- 解决方法:字节填充(byte stuffing)或字符填充(character stuffing)。
- 发送端的数据链路层在数据中出现控制字符“SOH”或“EOT”的前面插入一个转义字符“ESC”(其十六进制编码是1B)。
- 接收端的数据链路层在将数据送往网络层之前删除插入的转义字符。
- 如果转义字符也出现在数据当中,那么应在转义字符前面插入一个转义字符ESC。当接收端收到连续的两个转义字符时,就删除其中前面的一个。

差错检测
- 在传输过程中可能会产生比特差错:1 可能会变成0而0也可以变成1。
- 在一段时间内,传输错误的比特占所传输比特总数的比特率称为 误码率 BER(Bit Error Rate)。
- 误码率与信噪比有很大的关系。
- 为了保证数据传输的可靠性,在计算机网络传输数据时,必须采用各种差错检测措施。
循环冗余检测的原理
- 在数据链路层传送的帧中,广泛使用了循环冗余检验 CRC 的检测技术。
- 在发送端,先把数据划分为组。假定每组 K 个比特。
- 假设待传送的一组数据 M=101001(现在K=6).我们M的后面在添加供差错检测用的n位冗余码一起发送。
但是我们的冗余码如何计算呢?
- 用二进制的模2运算进行2的n次方乘 M 运算,这相当于在M后面添加 n 个0。
- 得到的(k + n)位的数除以事先选定好的长度为(n + 1)位的除数P,得出商是Q而余数是R,余数R比除数P少1位,即R是n位。
- 将余数R作为冗余码拼接在数据M后面发送出去。
模2运算:指“不进位不退位不接位”,例如 在二进制中 1+1 进位得 10,但这里 1+1=0(不进位)其它类似。以上的方法就可以计算冗余码。
冗余码的计算举例
- 现在k = 6,M = 101001。
- 设 n = 3,除数 P = 1101,
- 被除数是2的n次方乘M = 101001000。
- 模2运算的结果是:商 Q = 110101,余数 R = 001。
- 把余数 R 作为冗余码添加在数据 M 的后面发送出去。
发送的数据是:2的n次方乘M + R
: 101001001, 共(K + n)位。
循环冗余检验的原理说明

帧检验序列FCS
- 在数据后面添加上的冗余码位帧检验序列FCS(Frame Check Sequence)。
- 循环冗余检验CRC和帧检验序列FCS并不等同。
- CRC是一种常用的检错方法,而FCS是添加在数据后面的冗余码。
- FCS可以用CRC这种方法得出,但CRC并非用来获得FCS的唯一方法。
接收端对收到的每一帧进行CRC检验
- 若得出的余数R=0,则判定这个帧没有差错,就接受(accept)。
- 若余数R ≠ 0,则判定这个帧有差错,就丢弃。
- 但这种检查方法并不能确定究竟是哪一个或哪几个比特出现了差错。
- 只要经过严格的挑选,并使用位数足够多的除数P,那么出现检查不到的差错的概率就很小很小。
注意
- 仅用循环冗余检验CRC差错检测技术只能做到无差错接受(accept)。
- “无差错接受”是指:“凡是接受的帧(即不包括丢弃的帧),我们都能以非常接近于1的概率认为这些帧在传输过程中没有产生差错”。
- 也就是说:“凡是接收端数据链路层接受的帧都没有传输差错”(有差错的帧就丢弃而不接受)。
- 要做到“可靠传输”(即发送什么就收到什么)就必须再加上确认和重传机制。(可靠传输:不重复、不丢失、不失序)
- 应当明确,“五比特差错”与“无传输差错”是不同的概念。
- 在数据链路层使用CRC检验,能够实现无比特差错的传输,但这还不是可靠传输。
- 数据链路层协议都不是可靠传输的协议(这里有一个疑问,谁可以做可靠传输?)。
3.2 点对点协议 PPP
3.2.1 PPP协议的特点
- 对于点对点的链路,目前使用得最广泛的数据链路层协议是点对点协议PPP(Point-to-Point Protocol)。
- 用户使用拨号电话线接入互联网时,用户计算机和ISP进行通信时所使用的数据链路层协议就是PPP协议。
- PPP协议在1994年就已成为互联网的正是标准。
用户到ISP的链路使用PPP协议

PPP协议应满足的需求
- 简单——这是首要的要求。
- 封装成帧——必须规定特殊的字符作为帧定界符。
- 透明性——必须保证数据传输的透明性。
- 多种网络层协议——能够在同一条物理链路上同时支持多种网络层协议。
- 多种类型链路——能够在多种类型的链路上运行。
- 差错检测——能够对接收端收到的帧进行检测,并立即丢弃有差错的帧。
PPP协议不需要的功能
- 纠错
- 流量控制
- 序号
- 多点线路
- 半双工或单工链路
PPP协议的组成
- 一个将IP数据报封装到串行链路的方法。
- 链路控制协议LCP(Link Control Protocol)。
- 网络控制协议NCP(Network Control Protocol)。
3.2.2 PPP协议的帧格式
- PPP帧的首部和尾部分别为4个字段和2个字段。
- 标志字段F=0x7E(符号“0x”表示后面的字符是用十六进制表示。十六进制的7E的二进制表示是 01111110)。
- 地址字段A只置为0xFF。地址字段实际上并不起作用。
- 控制字段C通常置为0x03。
- PPP是面向字节的,所有的PPP帧的长度都是整数字节。

PPP有一个2个字节的协议字段。其值
- 若为0x0021,则信息字段就是IP数据b报。
- 若为0x8021,则信息字段是网络控制数据。
- 若为0xC021,则信息字段是PPP链路控制数据。
- 若为0xC023,则信息字段是鉴别数据。
透明传输问题
- 当PPP用在同步传输链路时,协议规定采用硬件来完成比特填充(和HDLC的做法一样)。
- 当PPP用在异步传输时,就使用一种特殊的字符填充法。
字符填充
- 将信息字段中出现的每一个0x7E字节转变成为2字节序列(0x7D,0x5E)。
- 若信息字段中出现一个0x7D的字节,则将其转变为2字节序列(0x7D,0x5D)。
- 若信息字段中出现ASCII码的控制字符(即数值小于0x20的字符),则在该字符前面要加入一个0x7D字节,同时将该字符的编码加以改变。
零比特填充
- PPP协议用在SONET/SDH链路时,使用同步传输(一连串的比特连续传送)。这时PPP协议采用 零比特填充 方法来实现透明传输。
- 在发送端,只要发现有5个连续1,则立即填入一个0。
- 接受端对帧中的比特流进行扫描。每当发现5个连续1时,就把这5个连续1后的一个0删除。

看三个练习题稳固一下知识点
- 1.一个PPP帧的数据部分(十六进制)是 7D 5E FE 27 7D 5D 7D 5D 65 7D 5E 问真正的数据是什么?
- 2.PPP协议使用同步传输技术传送比特串0110 1111 1111 1100 ,则零比特填充后变成怎样的比特串?
- 3.若接收端收到的PPP真的数据部分是0001 1101 1111 0111 1101 10,则删除发送端加入的零比特后,得到的原始比特串是什么?
第一题答案(考点:字符填充):
7E FE 27 7D 7D 65 7E
第二题答案(考点:零比特填充):
0110 1111 1011 1110 00
第三题答案(考点:零比特删除):
0001 1101 1111 1111 110
对答案有疑问,欢迎关注公众号点击联系我加微信,进行探讨交流
不提供使用序号和确认的可靠传输
- PPP协议之所以不使用序号和确认机制是出于以下的考虑:
- 在数据链路层出现差错的概率不大时,使用比较简单的PPP协议较为合理。
- 在因特网环境下,PPP的信息字段放入的数据是IP数据报。数据链路层的可靠传输并不能够保证网络层的传输也是可靠的。
- 帧检验序列FCS字段可保证无差错接受。
3.2.3 PPP协议的工作状态
- 当用户拨号接入ISP时,路由器的调制解调器对拨号做出确认,并建立一条物理连接。
- PC机向路由器发送一系列的LCP分组(封装成多个PPP帧)。这些分组及其响应选择一些PPP参数,并进行网络层配置,NCP给新接入的- - PC机分配一个临时的IP地址,使PC机成为因特网上的主机。
- 通信完毕时,NCP释放网络层连接,收回原来分配出去的IP地址。接着,LCP释放数据链路层连接。最后释放的是物理层的连接。
- 可见,PPP协议已不是纯碎的数据链路层的协议,它还包含了物理层和网络层的内容。

3.3 使用广播信道的数据链路层
3.3.1 局域网的数据链路层
- 局域网最主要的特点是:
- 网络为一个单位所拥有;
- 地理范围和站点数目均有限。
- 局域网具有如下主要优点:
- 具有广播功能,从一个站点可很方便地访问全网。局域网上的主机可共享连接在局域网上的各种硬件和软件资源。
- 便于系统的扩展和逐渐地演变,各设备的位置可灵活调整和改变。
- 提高了系统的可靠性、可用性和残存性。
局域网拓扑结构

目前用的最多的就是星形网的布局,总线网的原理。
媒体共享技术
-
静态划分信道
- 频分复用
- 时分复用
- 波分复用
- 码分复用
-
动态媒体接入控制(多点接入)
- 随机接入
- 受控接入,如多点线路探询(polling),或轮询。
-
1.以太网的两个标准
- DIX Ethernet V2 是世界上第一个局域网产品(以太网)的规约。
- IEEE 802.3 是第一个IEEE的以太网标准。
- DIX Ethernet V2 标准与IEEE的802.3 标准只有很小的差别,因此可以将802.3 局域网简称为“以太网”。
- 严格说来,“以太网”应当是指符合DIX Ethernet V2 标准的局域网。
数据链路层的两个子层
- 为了使数据链路层能更好地适应多种局域网标准,IEEE 802 委员会就将局域网的数据链路层拆成两个子层:
- 逻辑链路控制 LLC(Logical Link Control)子层;
- 媒体接入控制 MAC(Medium Access Control)子层。
- 与接入到传输媒体有关的内容都放在MAC子层,而LLC子层则于传输媒体无关。
- 不管采用何种协议的局域网,对LLC子层来说都是透明的。

一般不考虑LLC子层
- 由于TCP/IP 体系经常使用的局域网是DIX Ethernet V2 而不是 802.3 标准中的几种局域网,因此现在802委员会制定的逻辑链路控制子层
- LLC(即802.2标准)的作用已经不大了。
- 很多厂商生产的适配器上就仅装有MAC协议而没有LLC协议。
适配器的作用
- 网络接口坂又称为通信适配器(adapter)或网络接口卡NIC(Network Interface Card),或“网卡”。
- 适配器的重要功能:
- 进行串行/并行转换。
- 对数据进行缓存。
- 在计算机的操作系统安装设备驱动程序。
- 实现以太网协议。
计算机通过适配器和局域网进行通信

3.3.2 CSMA/CD 协议
- 最初的以太网是将许多计算机都连接到一根总线上。当初认为这样的连接方法既简单又可靠,因为总线上没有有源器件。

以太网采用广播方式发送
- 总线上的每一个工作的计算机都能检测到B发送的数据信号。
- 由于只有计算机D的地址与数据帧首部写入地址一致,因此只有D才接收这个数据帧。
- 其他所有的计算机(A,C和E)都检测到不是发送给它们的数据帧,因此就丢弃这个数据帧而不能够收下来。
- 在具有广播特性的总线上实现了一对一的通信。
为了通信的简便,以太网采取了两种重要的措施:
(1) 采用较为灵活的无连接的工作方式
- 不必线建立连接就可以直接发送数据。
- 对发送的数据帧不进行编号,也不要求对方发回确认。
- 这样做的理由是局域网信道的质量很好,因信道质量产生差错的概率是很小的。

以太网提供的服务
- 以太网提供的服务是不可靠的交付,即尽最大努力的交付。
- 当目的站收到有差错的数据帧时就丢弃此帧,其他什么也不做。差错的纠正由高层来决定。
- 如果高层发现丢失了一些数据进行重传,但以太网并不知道这是一个重传的帧,而是当作一个新的数据帧来发送。
(2)以太网发送的数据都使用曼彻斯特(Manchester)编码

曼彻斯特编码缺点是:它所站的频带宽度比原始的基带信号增加了一倍。
CSMA/CD协议
- CSMA/CD 含义:载波监听多点接入/碰撞检测
- "多点接入"表示许多计算机以多点接入的方式连接在一根总线上。
- “载波监听”是指每一个站在发送数据之前先要检测一下总线上是否有其他计算机在发送数据,如果有,则暂时不要发送数据,以免发送碰撞。
- 总线上并没有什么“载波”。因此,“载波监听”就是电子技术检测总线上有没有其他计算机发送的数据信号。
碰撞检测
- “碰撞检测”就是计算机边发送数据边检测信道上的信号电压大小。
- 当几个站同时在总线上发送数据时,总线上的信号电压摆动值将会增大(互相增加)。
- 当一个站检测到的信号电压摆动值超过一定的门限值时,就认为总线上至少有两个站同时在发送数据,表明产生了碰撞。
- 所谓“碰撞”就是产生了冲突。因此“碰撞检测”也称为“冲突检测”。
检测到碰撞后
- 在发生碰撞时,总线上传输的信号产生了严重的失真,无法从中恢复出来有用的信息来。
- 每一个正在发送数据的站,一旦发现总线上出现了碰撞,就要立即停止发送,免得继续浪费网络资源,然后等待一段随机时间后再次发送。
为什么要进行碰撞检测?
- 由于电磁波在总线上的传播速率是有限的,当某个站监听到总线是空闲时,也可能总线并非真正是空闲的。
- A向B发出的信息,要经过一定的时间后才能传送到B。
- B若在A发送的信息到达B之前发送自己的帧(因为这时B的载波监听检测不到A所发送的信息),则必然要在某个时间和A发送的帧发生碰撞。
- 碰撞的结果是两个帧都变得无用。
- 所以需要在发送期间进行碰撞检测,以检测冲突。

A需要单程传播时延的2倍的时间,才能检测到与B的发送产生了冲突

CSMA/CD 重要特性
- 使用CSMA/CD 协议的以太网不能进行全双工通信而只能进行双向交替通信(半双工通信)。
- 每个站在发送数据之后的一小段时间内,存在着遇碰撞的可能性。
- 这种发送的不确定性使整个以太网的平均通信量远小于以太网的最高数据率。
争用期
- 最先发送数据帧的站,在发送数据帧后至多经过实践2r(两倍的端到端往返时延)就可知道发送的数据帧是否遭受了碰撞。
- 以太网的端到端往返时延2t称为争用期,或碰撞窗口。
- 经过争用期这段时间还没有检测到碰撞,才能肯定这次发送不会发生碰撞。
二进制指数类型退避算法
- 发送碰撞的站在停止发送数据后,要推迟(退避)一个随机时间才能再发送数据。
- 基本退避时间取为争用期2t。
- 从整数集合[0,1,…,(2的k次方-1)]中随机地取出一个数,记为r。重传所需的时延就是r倍的基本退避时间。
- 参数k按下面的公式计算:K = Min[重传次数,10]
- 当k <= 10时,参数k等于重传次数。
- 当重传达16次仍不能成功时即丢弃该帧,并向高层报告。
争用期的长度
- 10 Mbit/s 以太网取 51.2 微秒为争用期的长度。
- 对于10 Mbit/s 以太网,在争用期内可发送512bit,即64字节。
这意味着:
以太网在发送数据时,若前64字节没有发生冲突,则后续的数据就不会发生冲突。
最短有效帧长
- 如果发生冲突,就一定是在发送的前64字节之内。
- 由于一检测到冲突就立即中止发送,这时已经发送出去的数据一定小于64字节。
- 以太网规定了最短有效帧为64字节,凡长度小于64字节的帧都是由于冲突而异常中止的无效帧。
强化碰撞
当发送数据的站一旦发现发生了碰撞时:
- 立即停止发生数据:
- 再继续发送若干比特的人为干扰信号,以便让所有用户都知道现在发送了碰撞。

人为干扰信号
B也能够检测到冲突,并立即停止发送数据帧,接着就发送干扰信号。这里为了简单起见,只画出A发送干扰信号的情况。
CSMA/CD协议的要点
- 准备发送。但在发送之前,必须先检测信道。
- 检测信道。若检测到信道忙,则应不停的检测,一直等待信道转为空闲。若检测到信道空闲,并在96比特时间内信道保持空闲(保证了帧间最小间隔),就发送这个帧。
- 检测碰撞。在发送过程中仍不停地检测信道,即网络适配器要边发送边监听。这里只有两种可能性:
- 发送成功:在争用期内一直未检测到碰撞。这个帧肯定能够发送成功。发送完毕后,其他什么也不做。然后回到准备发送。
- 发送失败:在争用期内检测到碰撞。这时立即停止发送数据,并按规定发送人为干扰信号。适配器接着就执行指数退避算法,等待r倍 512 比特时间后,返回到检测信道,继续检测信道。但若重传达16次仍不能成功,则停止重传而向上报错。
一位老师编写了一个打油诗,很不错
先听后发(准备发送),
边听边发(检测信道),
冲突停止(发送失败),
延迟触发(退避算法)。
3.3.3 使用集线器的星形拓扑
使用集线器的双绞线以太网

星形以太网 10BASE-T
1990年 IEEE 制定出星形以太网 10BASE-T 的标准 802.3i。

- 使用无线屏蔽双绞线,采用星形拓扑。
- 每个站需要用两对双绞线,分别用于发送和接收。
- 双绞线的两端使用 RJ-45 插头
- 集线器使用了大规模集成电路芯片,因此集线器的可靠性提高。
- 10BASE-T 的通信距离稍短,每个站到集线器的距离不超过100m。
集线器的一些特点
- 集线器是使用电子器件来模拟实际电缆线的工作,因此整个系统仍然像一个传统的以太网那样运行。
- 使用集线器的以太网在逻辑上仍是一个总线网,各工作站使用的还是CSMA/CD协议,并共享逻辑上的总线。
- 集线器很像一个多接口的转发器,工作在物理层。
- 集线器采用了专门的芯片,进行自适应串音回波抵消,减少了低端串音。
具有三个接口的集线器

3.3.4 以太网的信道利用率
- 多个站在以太网同时工作就可能会发生碰撞。
- 当发生碰撞时,信道资源实际上是被浪费了。因此,当扣除碰撞所造成的信道损失后,以太网总的信道利用率并不能达到100%。
- 假设 t 是以太网单程端到端传播时延。则争用期长度为2t,即端到端传播时延的两倍。检测到碰撞后不发送干扰信号。
- 设帧长为L(bit),数据发送速率为C(bit/s),则帧的发送时间为 T0=L/C(s)。
以太网信道被占用的情况
-
一个站在发送帧时出现了碰撞。经过一个争用期2t后,可能有出现了碰撞。这样经过若干个争用期后,一个站发送成功了。假定发送帧需要的时间是T0。

-
注意到,成功发送一个帧需要占用信道的时间是T0 + t,比这个帧的发送时间要多一个单程端到端时延t。
-
这是因为当一个站发送完最后一个比特时,这个比特嗨哟啊在以太网上传播。
-
在最极端的情况下,发送站在传输媒体的一端,而比特在媒体上传输到另一端所需的时间是t。
参数α与利用率
- 要提高以太网的信道利用率,就必须减少t与 T0 之比。
在以太网中定义了参加α,它是以太网单程端到端时延t与帧的发送时间T0之比:α = t/T0- α–>0,表示一发生碰撞就立即可以检测出来,并立即停止发送,因而信道利用率很高。
- α越大,表明争用期所占的比例增大,每发生一次碰撞就浪费许多信道资源,使得信道利用率明显降低。
对以太网参数α的要求
- 为提高利用率,以太网的参数 α 的值应当金克恩跟小些。
- 对以太网参数α的要求是:
- 当数据率一定时,以太网的连接的长度受到限制,否则t的数值会太大。
- 以太网的帧长不能太短,否则T0的值会太小,使α值太大。
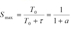
信道利用率的最大值Smax
-
在理想化的情况下,以太网上的各站发送数据都不会产生碰撞(这显然已经不是CSMA/CD,而是需要使用一种特殊的调度方法),即总线一旦空闲就有某一个站立即发送数据。
-
发送一帧占用线路的时间是 T0 + t,而帧本身的发送时间是 T0。于是我们可计算出理想情况下的极限信道利用率Smax为:

- 只有当参数a远小于1才能得到尽可能高的极限信道利用率。
- 据统计,当以太网的利用率达到30%时就已经处于重载的情况。很多的网络容量被网上的碰撞消耗掉了。
3.3.5 以太网的MAC层
重点介绍:
- MAC层的硬件地址
- MAC帧的格式
1.MAC层的硬件地址
- 在局域网中,硬件地址又称为物理地址,或MAC地址。
- 802标准所说的“地址”严格地讲应当是每一个站的“名字”或标识符。
- 但鉴于大家都早已习惯了讲这种48位的“名字”称为“地址”,所以计算机网络教材也采用这种习惯用法,尽管这种说法不太严格。
- 请注意,如果连续在局域网上的主机或路由器安装有多个适配器,那么这样的主机或路由器就有多个“地址”。更准确些说,这种48位“地址”应当是某个接口的标识符。
48位的MAC地址
- IEEE 802标准规定MAC地址字段可采用6字节(48位)或2字节(16位)这两种中的一种。
- IEEE 的注册管理机构RA 负责向厂家分配地址字段6个字节中的前三个字节(即高位24位),称为组织唯一标识符。
- 地址字段6个字节中的后三个字节(即低位24位)由厂家自行指派,称为扩展唯一标识符,必须保证生产出的适配器没有重复地址。

- 一个地址块可以生成2的24次方个不同的地址。这种48位地址称为MAC-48,它的通用名称是EUI-48。
- 生产适配器时,6字节的MAC地址已被固化在适配器的ROM,因此,MAC地址也叫作硬件地址或物理地址。
- “MAC地址”实际上就是适配器地址或适配器标识符EUI-48。
单站地址,组地址,广播地址
- IEEE规定地址字段的第一字节的最低位为I/G位。I/G表示Individual/Group。
- 当I/G位=0,地址字段表示一个单站地址。
- 当I/G位=1时,表示组地址,用来进行多播(以前曾译为组播)。此时,IEEE只分配地址字段前三个字节中的23位。
- 当I/G位分别为0和1时,一个地址块可分别生成2的24次方个单个站地址和2的24次方个组地址。
- 所有48位都为1时,为广播地址。只能作为目的地址使用。
适配器检查MAC地址
- 适配器从网络上每收到一个MAC帧就首先用硬件检查MAC帧中的MAC地址。
- 如果是发往本站的帧则收下,然后再进行其他的处理。
- 否则就将此帧丢弃,不再进行其他的处理。
- “发往本站的帧”包括以下三种帧:
- 单播(unicast)帧(一对一)
- 广播(broadcast)帧(一对全体)
- 多播(multicast)帧(一对多)
- 所有的适配器都至少能够识别前两种帧,即能够识别单播地址和广播地址。
- 有的适配器可用编程方法识别多播地址。
- 只有目的地址才能使用广播地址和多播地址。
- 以混杂方式(promiscuous mode)工作的以太网适配器只要“听到”有帧在以太网上传输就都接收下来。
2.MAC帧的格式
- 常用的以太网MAC帧格式有两种标准:
- DIX Ethernet V2 标准
- IEEE 的 802.3 标准
- 最常用的MAC帧是以太网 V2 的格式。
以太网V2的MAC帧格式

无效的MAC帧
- 数据字段的长度于长度字段的值不一致;
- 帧的长度不是整数个字节;
- 用收到的帧检验序列FCS查出有差错;
- 数据字段的长度不在46~1500字节之间。
- 有效的MAC帧长度为64~1518字节之间。
对于检查出的无效MAC帧就简单地丢弃。以太网不负责重传丢弃的帧。
帧的最小间隔
- 帧间最小间隔为9.6微秒,相当于96 bit的发送时间。
- 一个站在检测到总线开始空闲后,还要等待9.6 微秒才能再次发送数据。
- 这样做是为了使刚刚收到数据帧的站的接收缓存来得及清理,做好接受下一帧的准备。
创作不易,点个赞吧!
如果需要后续再看点个收藏!
如果对我的文章有兴趣给个关注!
如果有问题,可以关注公众号【了凡银河系】点击联系我私聊。

浙公网安备 33010602011771号