将有序数组转换为二叉搜索树
给你一个整数数组 nums ,其中元素已经按 升序 排列,请你将其转换为一棵 高度平衡 二叉搜索树。
高度平衡 二叉树是一棵满足「每个节点的左右两个子树的高度差的绝对值不超过 1 」的二叉树。
示例 1:

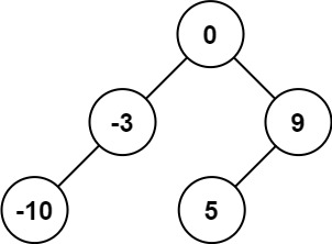
输入:nums = [-10,-3,0,5,9]
输出:[0,-3,9,-10,null,5]
解释:[0,-10,5,null,-3,null,9] 也将被视为正确答案:

示例 2:

输入:nums = [1,3]
输出:[3,1]
解释:[1,null,3] 和 [3,1] 都是高度平衡二叉搜索树。
提示:
1 <= nums.length <= 104
-104 <= nums[i] <= 104
nums 按 严格递增 顺序排列
作者:力扣 (LeetCode)
链接:https://leetcode.cn/leetbook/read/top-interview-questions-easy/xninbt/
来源:力扣(LeetCode)
著作权归作者所有。商业转载请联系作者获得授权,非商业转载请注明出处。
/**
* Definition for a binary tree node.
* public class TreeNode {
* int val;
* TreeNode left;
* TreeNode right;
* TreeNode() {}
* TreeNode(int val) { this.val = val; }
* TreeNode(int val, TreeNode left, TreeNode right) {
* this.val = val;
* this.left = left;
* this.right = right;
* }
* }
*/
class Solution {
public TreeNode sortedArrayToBST(int[] nums) {
//特殊情况
if (nums.length == 0)
return null;
//重写递归函数
return sortedArrayToBST(nums, 0, nums.length - 1);
}
public TreeNode sortedArrayToBST(int[] nums, int start, int end) {
//此处不能有等号,等号的时候表示还有数据,一定要大于才表示没有数据
if(start>end){
return null;
}
//中点
int mid = (start + end) / 2 ;
//每一次的根节点
TreeNode root = new TreeNode(nums[mid]);
//左右节点递归
root.left = sortedArrayToBST(nums,start,mid-1);
root.right = sortedArrayToBST(nums,mid+1,end);
return root;
}
}

浙公网安备 33010602011771号