对称二叉树
给你一个二叉树的根节点 root , 检查它是否轴对称。
示例 1:

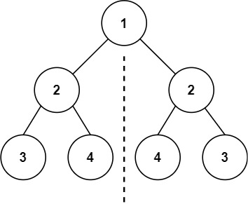
输入:root = [1,2,2,3,4,4,3]
输出:true
示例 2:

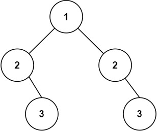
输入:root = [1,2,2,null,3,null,3]
输出:false
提示:
树中节点数目在范围 [1, 1000] 内
-100 <= Node.val <= 100
进阶:你可以运用递归和迭代两种方法解决这个问题吗?
相关标签
Java
作者:力扣 (LeetCode)
链接:https://leetcode.cn/leetbook/read/top-interview-questions-easy/xn7ihv/
来源:力扣(LeetCode)
著作权归作者所有。商业转载请联系作者获得授权,非商业转载请注明出处。
/**
* Definition for a binary tree node.
* public class TreeNode {
* int val;
* TreeNode left;
* TreeNode right;
* TreeNode() {}
* TreeNode(int val) { this.val = val; }
* TreeNode(int val, TreeNode left, TreeNode right) {
* this.val = val;
* this.left = left;
* this.right = right;
* }
* }
*/
class Solution {
public boolean isSymmetric(TreeNode root) {
//特殊情况
if(root==null)return true;
//递归方法,把根的左右两个子树放入
return shifouduichen(root.left,root.right);
}
public boolean shifouduichen(TreeNode left,TreeNode right){
//两者都不为空的时候
if(left!=null&&right!=null){
//但可能存在一边为null,以便不为null的情况
if(left.val != right.val || left==null || right==null){
return false;
}
//递归调用左右两科树的子树,进行对称规律调用
return shifouduichen(left.left,right.right) && shifouduichen(left.right,right.left);
}
//递归出口
if(right==null&&left==null)return true;
//除了满足条件,其它都为false
return false;
}
}

浙公网安备 33010602011771号