直角三角锥
链接:https://www.nowcoder.com/acm/contest/81/A
来源:牛客网
在三维空间中,平面 x = 0, y = 0, z = 0,以及平面 x + y + z = K 围成了一个三棱锥
整天与整数打交道的小明希望知道这个三棱锥内、上整点的数目。
他觉得数量可能很多,所以答案需要对给定的 M 取模。
输入描述:
输入有 1 ≤ T ≤ 1e5 组数据,每组数据中,输入两个整数 0<=k<=1e9+7,0<=m<=1e9+7,意义如题目描述。
输出描述:
对于每组数据,输出一个整数,为三棱锥内、上整点的数目对 M 取模。
输入
4 0 60 1 60 29 60 29 100007
输出
1 4 40 4960
解法
这道题目公式都已经推出来了,但是却没有化简,最后还是没有做出来。
这道题目我将它当做一个排列组合问题来思考,它相当于是要寻找x+y+z<=k && x>=0 && y>=0 && z>=0 的整点数个数,其实满足这个条件的数,就相当于寻找x+y+z<=k-1 && x>=0 && y>=0 && z>=0 和 x+y+z=k && x>=0 && y>=0 && z>=0这两个区域数的个数,那么我们只需要解决x+y+z=k && x>=0 && y>=0 && z>=0这个子问题,再进行累加求和就行了。
对于x+y+z=k && x>=0 && y>=0 && z>=0这个区域,整数的个数又有多少呢,其实固定其中x,y的取值,z的取值就会得到,当x取0,y有k+1取法,当x取1,y有k种取法。。
所以总数=(k+1)+k+(k-1)+......+2+1=(k+2)*(k+1)/2
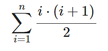
推出得到公式
这个n=k+1,然后进行化简,之前我想复杂了,我将第i项和第i+1项结合起来,并分了奇偶来做,其实将括号打开就行,最后化简得到
(n+1)*(n+2)*(n+3)/6,这道题目还涉及如何取模,当(n+1)*(n+2)*(n+3)相乘,范围可能会爆掉,所以要在之前取模,而取模可能会影响到除法的操作,m*=6,就会使最后结果不变。
#include<iostream> using namespace std; int main(){ int t; cin >> t; while (t--){ long long k, m; cin >> k >> m; m *= 6; cout<< (k + 1)*(k + 2)%m*(k + 3)%m / 6 <<endl; } }

浙公网安备 33010602011771号