java——流程控制语句——顺序结构语句——单if语句——if...else语句——扩展if……else语句——嵌套if……else语句



===================================================================================================================












=====================================================================================================================




=====================================================================================================
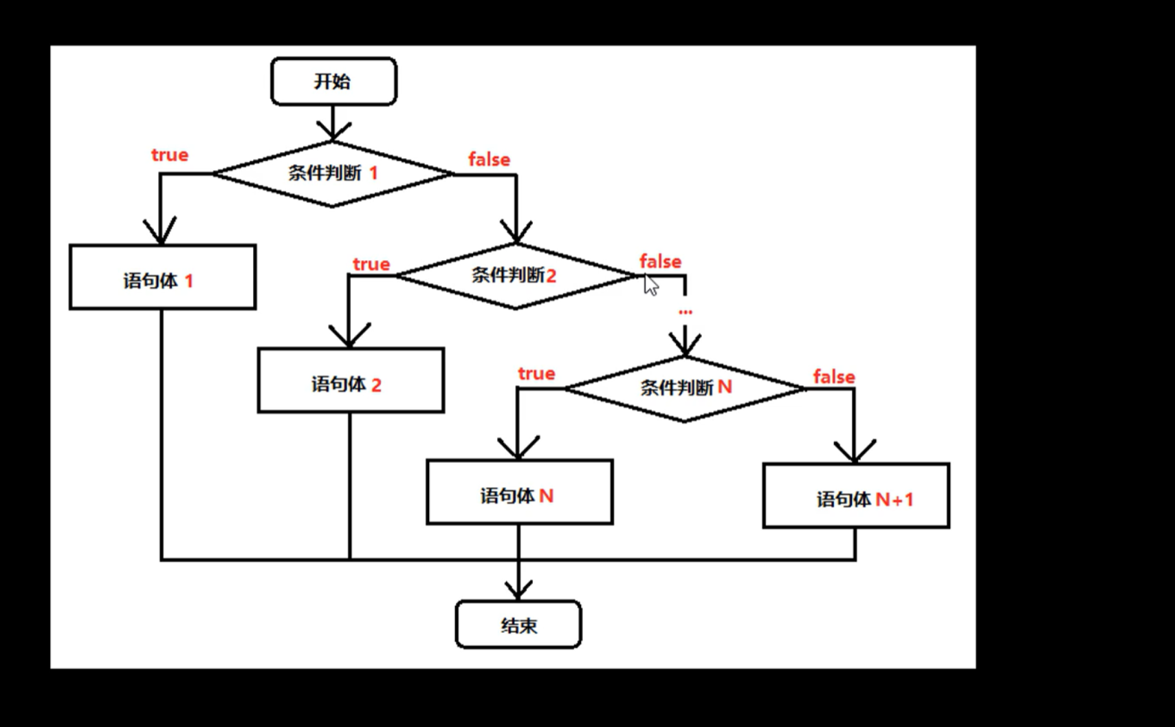
Java 支持两种选择语句:if 语句和 switch 语句。
其中 if 语句使用布尔表达式或布尔值作为分支条件来进行分支控制,而 switch 语句则用于对多个整型值进行匹配,从而实现分支控制。
这些语句允许你只有在程序运行时才能知道其状态的情况下,控制程序的执行过程。
选择结构(也叫分支结构)解决了顺序结构不能判断的缺点,可以根据一个条件判断执行哪些语句块。
选择结构适合于带有逻辑或关系比较等条件判断的计算。例如,判断是否到下班时间,判断两个数的大小等。












浙公网安备 33010602011771号