综合系统开发----需求分析
| 这个作业属于哪个课程 | 班级链接 |
|---|---|
| 这个作业要求在哪里 | 作业要求链接 |
| 这个作业的目标 | 1. 学习运用UML、学习领域驱动设计方法和软件设计模式等知识 |
| 2. 学习使用git增量式管理代码、文档,实现文档的版本化和增量式管理 |
一、领域驱动设计
1、定义领域对象
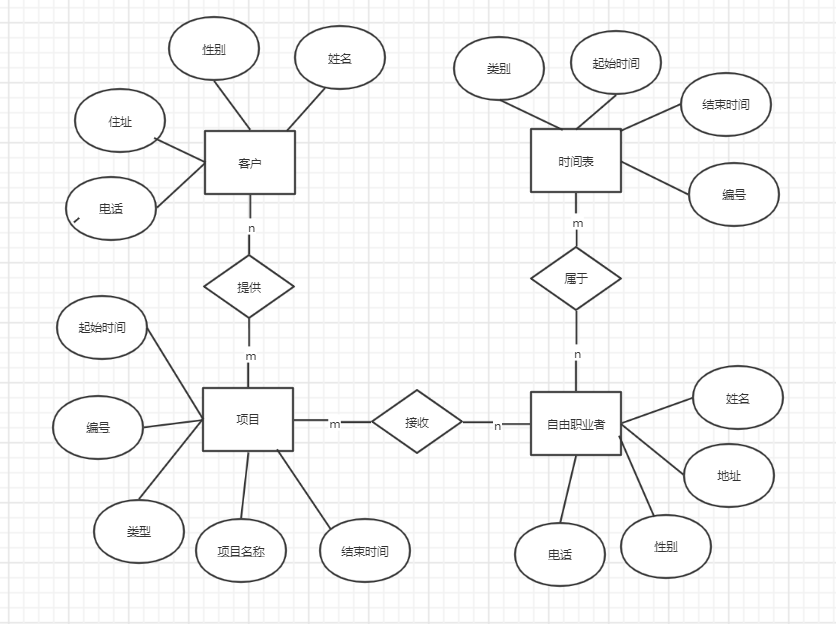
- 客户:Customer
- 自由职业者:Freelancer
- 项目:Projiect
- 时间表:Schedule
2、定义领域对象的关联关系

二、需求规格说明书
1、需求概述
一家公司提供服务出租,自身有一些员工,另外还有很多自由职业者作为服务商存在。公司目前使用Excel工作表来管理他们的客户(自由职业者),时间表等。Excel解决方案无法很好地进行扩展。它无法应对多用户使用的场景,也不提供安全和审计日志。因此他们决定构建一个新的基于Web的解决方案。
2、需求分析
功能需求
- 搜索自由职业者分类的功能
- 用于存储联系自由职业者的不同渠道的解决方案
- 搜索项目分类的功能
- 搜索客户分类的功能
- 维护合同中自由职业者的时间表
3、需求建模
3.1、数据流图

3.2、实体联系图

3.3、用例图

三、任务计划
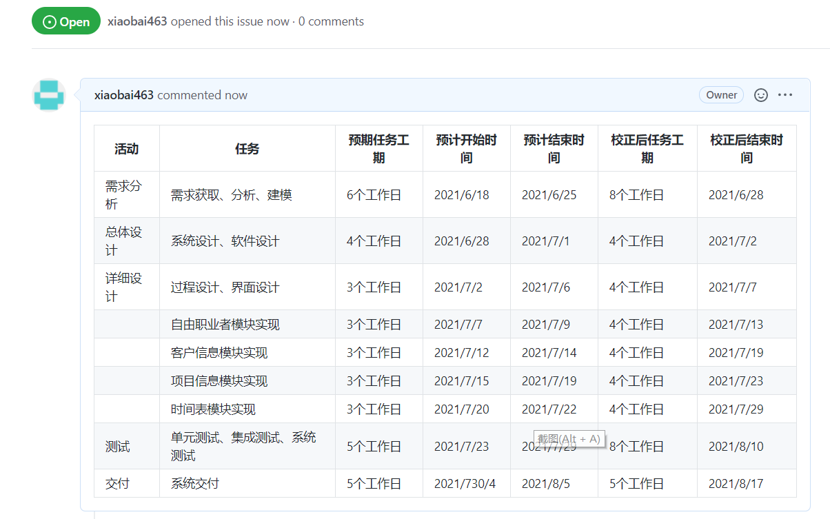
项目时间安排表
| 活动 | 任务 | 预期任务工期 | 预计开始时间 | 预计结束时间 | 校正后任务工期 | 校正后结束时间 |
|---|---|---|---|---|---|---|
| 需求分析 | 需求获取、分析、建模 | 6个工作日 | 2021/6/18 | 2021/6/25 | 8个工作日 | 2021/6/28 |
| 总体设计 | 系统设计、软件设计 | 4个工作日 | 2021/6/28 | 2021/7/1 | 4个工作日 | 2021/7/2 |
| 详细设计 | 过程设计、界面设计 | 3个工作日 | 2021/7/2 | 2021/7/6 | 4个工作日 | 2021/7/7 |
| 自由职业者模块实现 | 3个工作日 | 2021/7/7 | 2021/7/9 | 4个工作日 | 2021/7/13 | |
| 客户信息模块实现 | 3个工作日 | 2021/7/12 | 2021/7/14 | 4个工作日 | 2021/7/19 | |
| 项目信息模块实现 | 3个工作日 | 2021/7/15 | 2021/7/19 | 4个工作日 | 2021/7/23 | |
| 时间表模块实现 | 3个工作日 | 2021/7/20 | 2021/7/22 | 4个工作日 | 2021/7/29 | |
| 测试 | 单元测试、集成测试、系统测试 | 5个工作日 | 2021/7/23 | 2021/7/29 | 8个工作日 | 2021/8/10 |
| 交付 | 系统交付 | 5个工作日 | 2021/730/4 | 2021/8/5 | 5个工作日 | 2021/8/17 |
四、github地址
五、issues截图

六、后台编辑截图


浙公网安备 33010602011771号