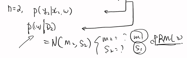
线性回归模型的贝叶斯估计2-预测分布

线性回顾模型的贝叶斯估计

 

 

 

 

 

 

 

 

 

 

 

 

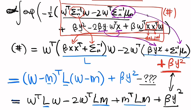
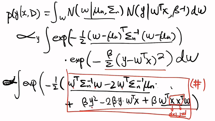
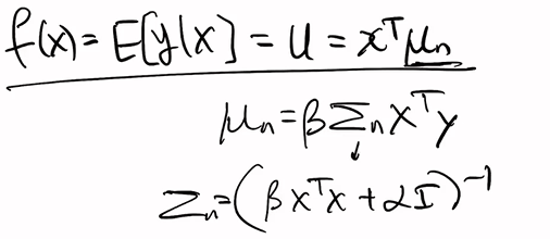
 重新整理一下:

 

 

 

 

 

 

 

 

 

 

 

 

 

 

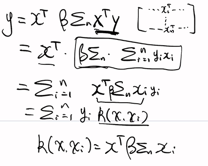
y的期望:

 

 

 

 举例说明

 

 

 

 

 

 

 

 

 

 

 

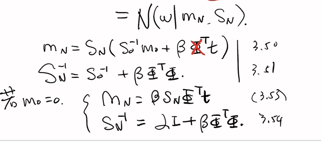
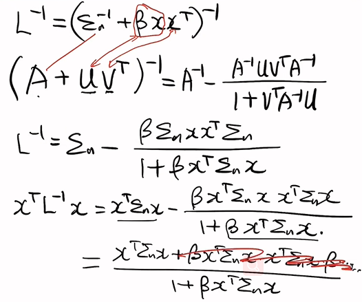
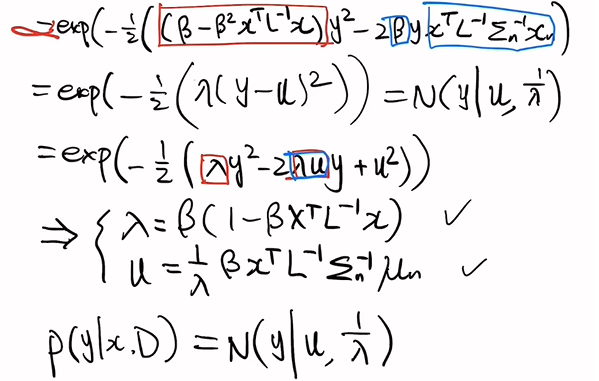
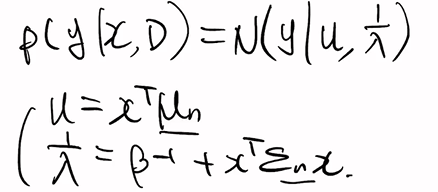
 预测分布:

 

 

 

 

 

 

 总结:

 

 

 

 

 

 

 

 贝叶斯估计天生自带学习的本质

 

 

 

posted @ 2020-10-13 20:20  nxiao  阅读(1004)  评论(0)    收藏  举报