线性回归模型的贝叶斯估计
1.Model 概率图模型表示
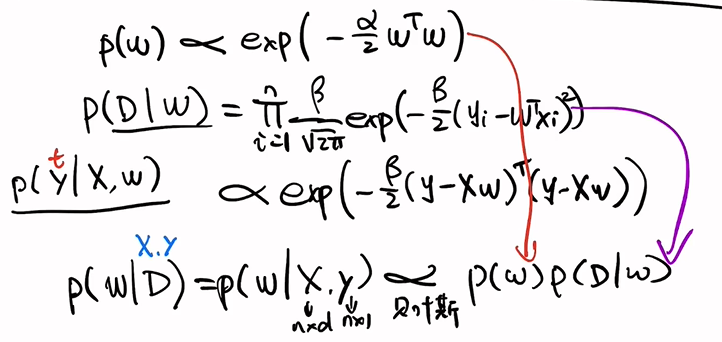
2.先验分布:参数的先验,通常认为参数θ服从高斯分布,w~N(0,α-1I)
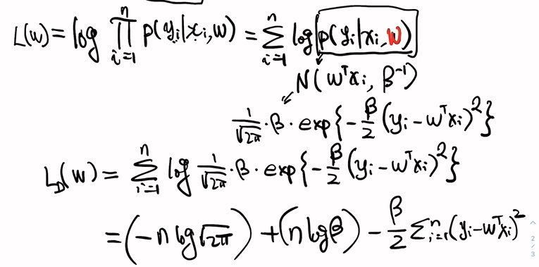
3.似然函数:对数似然函数 logP(D|W)
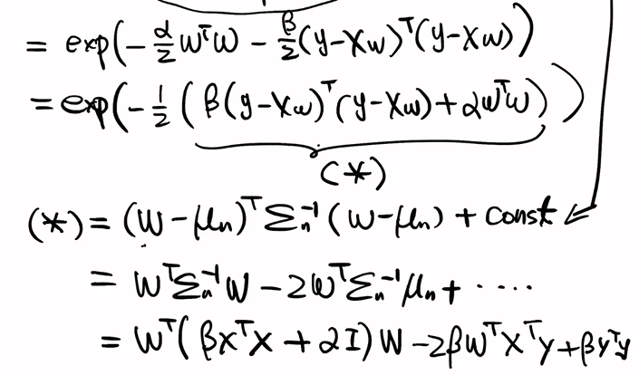
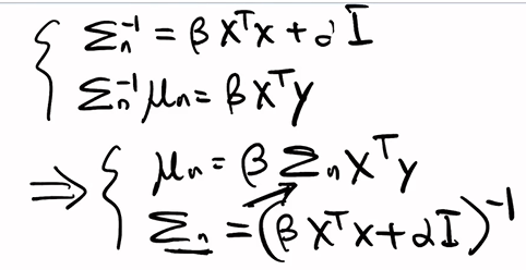
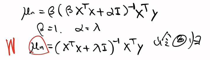
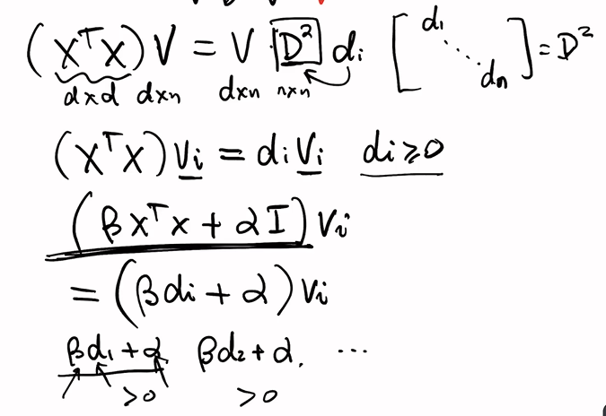
4.后验分布, P(W|D)=N(μn, Σn)
5.预测分布, P(y|x)=N(μ, 1/λ)
















1.Model 概率图模型表示
2.先验分布:参数的先验,通常认为参数θ服从高斯分布,w~N(0,α-1I)
3.似然函数:对数似然函数 logP(D|W)
4.后验分布, P(W|D)=N(μn, Σn)
5.预测分布, P(y|x)=N(μ, 1/λ)















