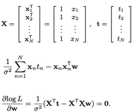
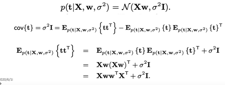
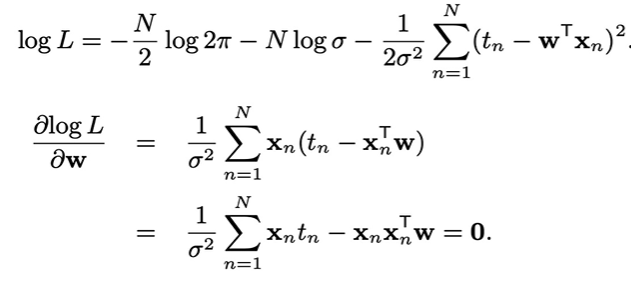
极大似然估计求解最小二乘法

 

 

 

 

 

 

 

 

 

 

 

 

 

 

 

 

 

 

 

 

 

 

 

 

 

 

 

 

 

 

 

 

 

 

 

 

 

 

 

 

 

 

 

 

 

 

 

 

 

 

 

 

 

 

 

 

 

 

 

posted @ 2020-10-13 08:33  nxiao  阅读(139)  评论(0)    收藏  举报