二叉树介绍
常见二叉树有完全二叉树、满二叉树
满二叉树:除最后一层无任何子节点外,每一层上的所有结点都有两个子结点的二叉树。 --来自百度百科

满二叉树除了满足普通二叉树的性质,还具有以下性质:
1.满二叉树中第 i 层的节点数为 2n-1 个。
2.深度为 k 的满二叉树必有 2k-1 个节点 ,叶子数为 2k-1。
3.满二叉树中不存在度为 1 的节点,每一个分支点中都两棵深度相同的子树,且叶子节点都在最底层。
4.具有 n 个节点的满二叉树的深度为 log2(n+1)。
完全二叉树:如果二叉树中除去最后一层节点为满二叉树,且最后一层的结点依次从左到右分布,则此二叉树被称为完全二叉树。

二叉树的遍历方式:
前序遍历:中左右
中序遍历:左中右
后续遍历:左右中
即以中间节点的位置来定义
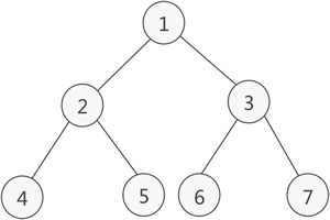
以下图为例:

前序遍历:1245367
即先中间的根节点,此时为1;然后是左边的节点(245),依次遍历为左边节点的2,然后继续左边的节点4,左边没有节点后再右边节点5;当整个左边都遍历后再遍历右边的节点(367),依次遍历右边节点3,然后遍历右边的左节点6,当右边的左节点遍历完成后再遍历右边的右节点7
中序遍历:4251637
按照之前的定义,先遍历左边,左边先遍历左节点4 、2 ,左边的左节点遍历完成后再遍历左边的右节点5;左边遍历完成后遍历中间即根节点1;中间遍历完成后遍历右边,先遍历右边的左节点即6、3,右边的左节点遍历完成后再遍历右边的右节点7
后序遍历:4526731
遍历顺序先左右再中,首先遍历左边的左右节点4 、5,左右遍历完成后遍历中2,左边遍历完成后遍历右边;先右边的左右节点 6、7,再遍历中3,右边节点遍历完成后在遍历中节点即根节点1
代码实现
前序遍历
def preorderTraversal(root): ans = [] def traversal(root): if root == None: return ans.append(root.val) # 中 traversal(root.left) # 左 traversal(root.right) # 右 traversal(root) return result
中序遍历
def inorderTraversal(root): ans= [] def traversal(root): if root == None: return traversal(root.left) # 左 ans.append(root.val) # 中 traversal(root.right) # 右 traversal(root) return result
后序遍历
def postorderTraversal(root): result = [] def traversal(root): if root == None: return traversal(root.left) # 左 traversal(root.right) # 右 result.append(root.val) # 中 traversal(root) return result

浙公网安备 33010602011771号