会员
周边
新闻
博问
闪存
众包
赞助商
Chat2DB
所有博客
当前博客
我的博客
我的园子
账号设置
会员中心
简洁模式
...
退出登录
注册
登录
BI, AI, 大数据学习
心若有所向往,何惧道阻且长; 但愿每一个人都像星星一样安详而从容的,不断沿着既定的目标走完自己的路程.
博客园
首页
新随笔
联系
订阅
管理
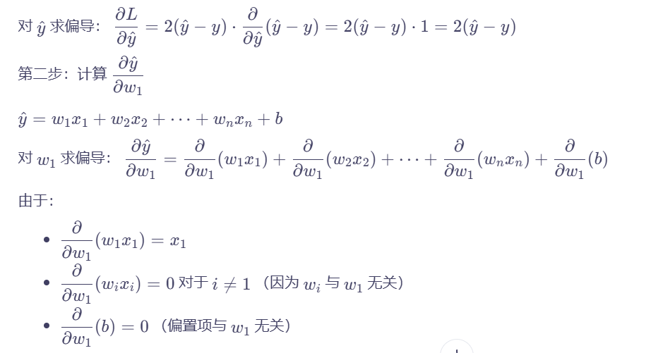
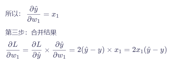
梯度公式推导
总结数学原理:
posted @
2025-12-18 13:32
ZH谢工
阅读(
5
) 评论(
0
)
收藏
举报
刷新页面
返回顶部
公告