[2007年NOIP普及组] Hanoi双塔问题
[2007年NOIP普及组] Hanoi双塔问题
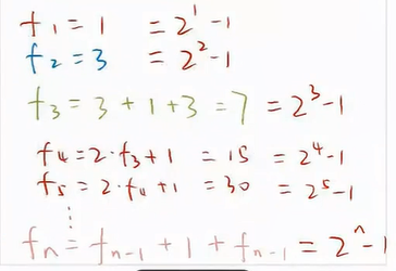
- 分析:根据题意,这是一个运用递推解决的问题,最关键的是找到递推式,先看汉诺单塔我们会发现规律为2^n-1,那么汉诺双塔就是在此基础上乘2,也就是2^(n+1)-2,找到规律后,还有一个需要我们注意的点是这道题范围,通过n=200我们可知要用高精度来计算,还有一个规律中的-2,因为不论是2的几次方都是2 4 6 8 在循环,所以不用考虑借位问题直接-2,最后注意,因为a[1]存的是个位,以此类推,所以要逆序输出。
-
#include<iostream>
#include<cstdio>
#include<cmath>
using namespace std;
int main()
{
int n,m=1,a[70];//m表示计算结果的位数 初始值1是一位数
cin>>n;
a[1]=1;//用下标表示个位十位百位...
for(int i=1;i<=n+1;i++)//规律2^(n+1)-2
{
int t=0;//t表示进位
for(int j=1;j<=m;j++)//遍历一个数的各个位数
{
t+=a[j]*2;//每次各个位数都乘2
a[j]=t%10;//每次结果取余(表示个位十位...)
t/=10;//进位
}
if(t>0) a[++m]=t;//每此进位就表示位数+1
}
a[1]-=2;//在个位上-2(规律)
for(int i=m;i>=1;i--)//输出每位上的数(逆序)
cout<<a[i];
return 0;
} - 关于汉诺单塔的规律(结合画图来分析)

浙公网安备 33010602011771号