C语言实验报告(四)
C程序设计实验报告
姓名:谢晨
实验地点:家
实验时间:2020.4.9
实验项目:5.3.1练习2.求数列前n项的和;5.3.2练习2.水仙花数;5.3.4十进制转换;5.3.5练习1.百马百担问题;5.3.5练习2.求等差数列;5.3.5练习3.食品分配问题;
一、实验目的与要求
1.熟练地掌握while,do. while及for语句实现循环的方法。
2.了解3种循环语句的区别和转换、各自的适应性、循环嵌套的使用。
3. 掌握如何在循环语句种使用break,.continue语句,改变程序流程。
4.掌握在程序设计种用循环的方法实现各种算法。
二、实验练习
5.3.1练习2.求数列前n项的和
1、问题的简单描述:.由编写程序,求数列1,-3!,5!,-7!,···,(-1)n-1(2n-1)!前n项的和。n的值由键盘输入。
2、实验代码:
#include <stdio.h> int main() { int n,i,j,sign=1; float fac,sum; printf("Please input value of n:"); scanf("%d",&n); sum=0.0; for(i=1;i<=2*n-1;i=i+2) { fac=1.0; for(j=1;j<=i;j++) { fac=fac*j; } fac=fac*sign; sum=sum+fac; sign=-sign; } printf("sum=%.0f\n",sum); }
3.问题分析:无
5.3.2练习2.水仙花数
1.问题的简单分析:求所有的水仙花数(水仙花数是-一个3位自然数,该数各位数的立方和等于该数本身,如153为水仙花数13+53+3^3=153 )。
2.实验代码:
#include <stdio.h> int main() { int x,y,z; int k=100; while(k<=999&k>=100) { x=k/100; y=(k/10)%10; z=k%10; if(k==x*x*x+y*y*y+z*z*z) printf("%d\n",k); k++; } return 0; }
3.问题分析:此前有写过与水仙花数有关的题目,相当于复习了个、十百位数的求法。
5.3.4十进制转换
1.问题的简单描述:输入4个字符型数字,并把其转换为十进制整数后显示出来。
2.实验代码:
#include <stdio.h> int main () { char c; int k,data; data=0; for(k=0;k<4;k++) { while(1) { c=getchar(); if(c>='0'&&c<='9') break; } switch(k) { case 0:data+=(c-"0")*1000;break; case 1:data+=(c-'0')*100;break; case 2:data+=(c-'0')*10;break; case 3:data+=(c-"0");break; } } printf("Data=%d",data); return 0;
3.问题分析:忘记了字符型数字的转换,在使用switch-case结构时遗忘了break,导致一开始无法得到正确结果。
5.3.5练习1.百马百担问题
1.问题的简单描述:有100匹马,要驼100担货物。其中一匹大马可以驼3担货物,一匹中马可以驼两担货物,两匹小马可以驼1担货物。求所需要的大骂,中马和小马可以有多少种组合。
2.实验代码:
#include <stdio.h> int main() { int m,n,k; int sum=0; printf("各种驮法如下:"); for(m=1;m<=100;m++) for(n=1;n<=100;n++) { k=100-m-n; if(k%2==0&&3*m+2*m+k/2==100) { printf("大马%d匹;中马%d匹;小马%d匹.\n",m,n,k); sum++; break; } } printf("共有%d种驮法.\n",sum); }
问题分析:分析流程图时未分析清楚,所以写代码时未考虑到break,下次应多注意。
5.3.5练习2.求等差数列
1.问题的简单描述:有一正整数等差数列,已知该数列前4项之和等于26,前4项之积等于880。求该等差数列前6项的值及前6项的和。
2.实验代码:
#include <stdio.h> int main() { int a,b,c,d,i,sum=0; for(a=1;a<=26;a++) for(d=1;d<=26;d++) { b=4*a+6*d; c=a*(a+d)*(a+2*d)*(a+3*d); if((b==26)&&(c==880)) { printf("数列的初始值为a=%d,差值为d=%d\n",a,d); printf("\n数列前6项值: "); for(i=0;i<6;i++) { printf("%d ",a+i*d); sum=sum+(a+i*d); } printf("\n"); } } printf("\n数列前6项的和:%d",sum); }
3.问题分析:无
5.3.5练习3.食品分配问题
1.问题的简单描述;有30个学生一起买小吃,共花费50元。其中,每个大学生花3元,每个中学生花2元,每个小学生花1元。求大,中,小学生的人数分配共有多少种不同的组合,(不计算某类学生为0的组合)。
2.实验代码:
#include <stdio.h> int main() { int x,y,z,sum; sum=0; for(x=1;x<30;x++) { for(y=1;y<30;y++) { z=30-x-y; if((3x+2y+z)==50) { printf("大学生%3d\t 中学生%3d\t 小学生%3d\n",x,y,z); sum=sum+1; } } } printf("共有%d种不同的组合。\n",sum); }
3.问题分析:无
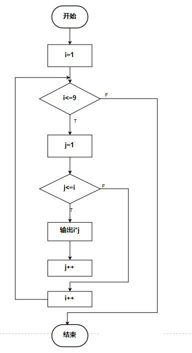
三、九九乘法表
1.设计思路:采用for循环嵌套,外循环控制行,内循环控制列,与上次三角形的问题大同小异。
2、流程图:

3.实验代码:
#include <stdio.h> int main () { int j,k,n; for(j=1;j<=9;j++) { for(k=1;k<=j;k++) { n=j*k; printf("%2d ",n); } printf("\n"); } }
4.实验小结:此次实验主要练习的是for循环嵌套的使用,在分析流程图和写代码时比较容易忽略小细节,如break就多次忘了。
通过此次实验,我发现在写代码前,先自己构思流程图,再与所给出的流程图对比更能发现自己思路在哪里出错,也能拓展思路。
另外对于for循环嵌套要多加练习,不然有时会弄混。