C语言实验报告(二)
实验项目:2.3.3字符与ASCll码、2.3.4运算符与表达式的运用、2.3.5
顺序结构应用程序、3.3.1数学函数的算法描述、3.3.2鸡兔同笼的算法描述、3.3.3确定坐标的算法描述
姓名:谢晨
实验地点:家
实验时间:2020.3.10
一、实验目的与要求:1、掌握自增++、自减--运算符的正确使用。
2、掌握基本的输入/输出函数的基本功能、调用方法、输入/输出格式控制规定等。
3、掌握结构化程序的算法描述方法。
4、熟练掌握C语言的运算符,即运算符的优先级和结核性、运算规则、运算对象类型等。
二、实验内容
1、实验练习2.3.1
(1)问题的简单描述:从键盘中输入一个大写字母,要求将其转换成小写字母并输出,同时输出这个小写字母相邻的两个字母,以及它们的ASCII值。
(2)实验代码:
#include<stdio.h> main() { char A,a,b,c; printf("请输入一个大写字母:\n"); scanf("%c",&A); a=A+32; b=a-1; c=a+1; printf("小写字母为%c,%c,%c\n",b,a,c); printf("ASCLL值为%d,%d,%d\n",b,a,c); }
(3)问题分析:字母大小写ASCll码有差值
2、实验训练2.3.4
(1)问题的简单描述:从键盘输入一个3位正整数,要求输出该数的逆序数。
(2)实验代码:
#include<stdio.h> main () { int a,c; printf("请输入一个3位正整数:\n"); scanf("%d",&a); c=a%10*100+a/10%10*10+a/100; printf("%d:%d\n",a,c); }
(3)问题分析:求逆序数要将个、十、百位的数字拆开求,再组合。
3、实验练习2.3.5
(1)问题的简单描述:编写一个程序,方便医院收费处利用此程序出纳算账。
(2)实验代码:
#include<stdio.h> int main() { float x,j,c,cw,q,f,hj,fk,zh; //其中,x是西药费;j代表检查费;c代表材料费;cw代表床位费;q代表观察费;f代表护理费;hj代表应付款;fk代表付款额;zh代表应找回的金额 printf("请输入西药费,检查费,材料费,床位费,观察费,护理费:\n"); scanf("%f,%f,%f,%f,%f,%f",&x,&j,&c,&cw,&q,&f); hj=x+j+c+cw+q+f; printf("应付款:%.2f",hj); printf("病人付款:"); scanf("%f",&fk); zh=fk-hj; printf("计算结果:\n"); printf("病人付款=%6.2f元\n,应收款=%6.2f元,应找回=%6.2f元\n",fk,hj,zh); }
(3)问题分析:无
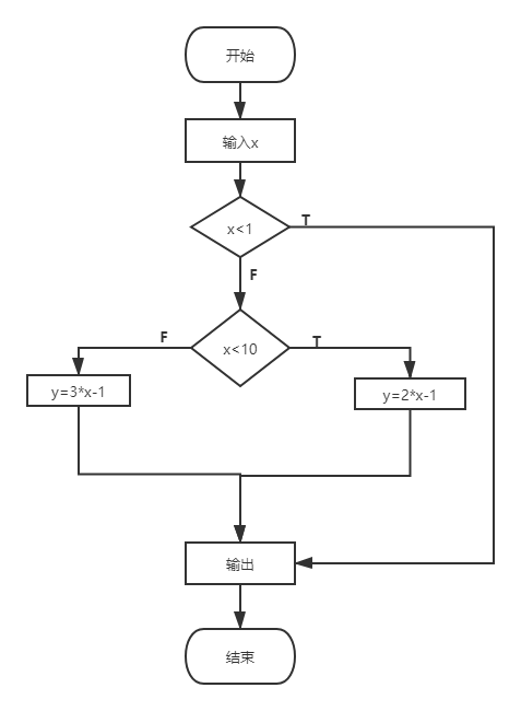
4、实验练习3.3.1
(1)问题的简单描述:请用算法流程图表示该函数算法
(2)实验代码:
#include<stdio.h> main () { float x,y; printf("请输入x的值:"); scanf("%f",&x); if(x<1) y=x; if(x>=1&&x<10) y=2*x-1; else y=3*x-1; printf("y的值为%.2f\n",y); }
(3)问题分析:要掌握if结构的用法
(4)流程图

5、实验训练3.3.2
(1)问题的简单描述:用算法流程图描述求解鸡兔同笼问题的算法。
(2)实验代码:
#include<stdio.h> main () { int h,f,x,y; printf("鸡兔总数,鸡兔脚总数:"); scanf("%d,%d",&h,&f); if(h>0&&f>0) { x=(4*h-f)/2; y=(f-2*h)/2; printf("鸡有%d 兔有%d\n",x,y); } else printf("输入错误!\n"); }
(3)问题分析:进一步加深了对if 的运用
(4)流程图:

6、实验训练3.3.3
(1)问题的简单描述:
圆塔位置如图所示,现输入任意坐标,该点坐标在任意一个圆塔内,则输出圆塔的高度;若该点不在圆塔内,则输出0。
(2)实验代码:
#include<stdio.h> #include<math.h> void main() { int h=10; float x1=2,y1=2,x2=-2,y2=2,x3=-2,y3=-2,x4=2,y4=-2,x,y,d1,d2,d3,d4; printf("请输入一个点(x,y):"); scanf("%f,%f",&x,&y); d1=sqrt((x-x1)*(x-x1)+(y-y1)*(y-y1)); d2=sqrt((x-x2)*(x-x2)+(y-y2)*(y-y2)); d3=sqrt((x-x3)*(x-x3)+(y-y3)*(y-y3)); d4=sqrt((x-x4)*(x-x4)+(y-y4)*(y-y4)); if(d1>1&&d2>1&&d3>1&&d4>1) h=0; else h=10; printf("该塔高度为%d",h); }
(3)问题分析:学会了平方的表达
三、实验小结
通过此次实验,我进一步的了解了C语言的算法结构。虽然在实验训练中,出现了很多问题如if算法、sqrt的运用不到位,但是最后都成功解决了。另外,在与同学的讨论中,我发现同一个问题可以用不同的算法结构去描述和运算,所以在课堂以外,我还应拓展自己的知识,不断丰富自己。