Trajectory of moving objects(I)
Given the forces of objects and initial displacement/velocity, we can determine the trajectory as a function of time by the iteration. Here we focus on the case of one-dimension, considering the effect of friction force and many particle interactions.
(1) the effect of friction force

When the friction force is given above, the code shoulbe modified at the updating of velocity.

Without friction, the velocity will increase as the time gradually, while there is a limit when the friction is considered.
(2) spring oscillator

For the ideal spring oscillator, we can obtain the equation when the friction of ground is neglected. Suppose the elastic coefficient k=1 and the initial displacement s(t=0)=0.1.
clear k=1;s(1)=0.1;v(1)=0; t(1)=0;dt=0.1; for i=1:1000 v(i+1)=v(i)-k*s(i)*dt; s(i+1)=s(i)+v(i+1)*dt; t(i+1)=t(i)+dt; endfor
After the iteration, we can plot the displacement or velocity as a function of time.
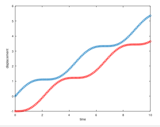
(3) case of two objects

When there are two objects, we can write down the equations respectively. Suppose the free length of string is L=1, the force can be calculated according to the difference between L and the distance of object 1,2.
clear k=1;s1(1)=0;v1(1)=1; s2(1)=-1;v2(1)=0; t(1)=0;dt=0.1; for i=1:100 v1(i+1)=v1(i)-k*(s1(i)-s2(i)-1)*dt; v2(i+1)=v2(i)+k*(s1(i)-s2(i)-1)*dt; s1(i+1)=s1(i)+v1(i+1)*dt; s2(i+1)=s2(i)+v2(i+1)*dt; t(i+1)=t(i)+dt; endfor
After the iteration, we can obtain the displacement of 1 and 2 as a function of time (shown on the left). The figure on the right is the distance of 1 and 2, which shows a typical trajectory of single spring oscillator.


plot(t,s1,'o-')
hold on
plot(t,s2,'ro-')
xlabel('time')
ylabel('displacement')
figure
plot(t,s1-s2,'o-')

浙公网安备 33010602011771号