镜像电流源归纳总结
镜像电流源基础
镜像电流源在电路中一般用作恒流偏置和有源负载。
在偏置电路中使用镜像电流源能使电路在温度和电源电压变化时保持很好的稳定性。镜像电流源在截止区所提供的偏置电流要比一般的电阻更加精确,尤其在所需的电流非常的小的时候。
当在电阻放大器中使用镜像电流源作为有源负载时,电流源的高增量电阻使得在低电压时也可以获得很大的电压增益。
电流镜四种基本类型
BJT结构

图中分类方法为,针对输出电流支路,当负载一端可以接地时,称为地型,否则称为浮型。当输出电流是流出电流镜时,称为吐型(source),当输出电流流入电流镜时,称为纳型sink。图中红色文字标注类型是输入电流源的类型,它和电流镜的类型刚好完全相反。

MOS结构

MOSFET组成的电流镜如图Section35-6所示。它们的工作原理与BJT 组成的电流镜类似,主要区别有:第一,因为没有门极电流,它不存在式(Section35-1,在两个晶体管的UDS相同情况下,iOUT=iIN。第二,由于增强型MOSFET的开启电压,一般都大于BJT 基极导通电压7V,因此电路中门极电位要稍高一些。
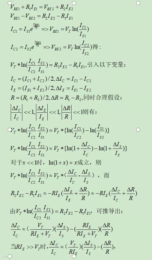
电流镜的不稳定性根源——Early Voltage(厄利电压)

也应该维持不变。




镜像电流源分类
分类如下:基本镜像电流源、减小β影响的镜像电流源、比例镜像电流源、威尔逊镜像电流源、串接镜像电流源、微电流源。
参考电流:
1、基准电流源
2、利用电阻产生参考电流
1、基本镜像电流源
1.1双极型晶体管结构

当两个晶体管完全相同时,

如果β够大,基极电流够小,则IC1=IC0≈IR
输出电阻(即电流源交流内阻)Rout=rce2
优点:
具有一定的温度补偿特性,当温度上升的时候,IC0变大,R上的压降变大,UBE变小,IB变小,IC0又变小。因此提高了输出电流IC1的稳定性。
缺点:
当需要比较大的IC1的时候,势必会增大IR上面的功耗;若要求IC1很小,必然要使R阻值变得很大,比较难以实现。
1.2 MOS晶体管结构


2、减小β影响的镜像电流源
2.1双极型晶体管结构


上面图中还有Re2,在实际电路中,需要Re2是为了增加T2管的工作电流,从而提高T2的β。实际中β是会变化的。很明显这样会使IB2增加,因此要取值合适。
优点:
进一步降低了IB0+IB1的影响

如果将Q3替换成MOS管,理论上可以完全消除误差。
这个电路的输出电流IC2精度比基本镜像电流源要高,但是输出电阻还是Rout=rce2(即恒流能力并未改善)。
2.2 MOS晶体管结构

3、比例镜像电流源
3.1双极型晶体管结构


由于VT1的发射极串联的电阻Re1,因此输出交流电阻将远大于前面的电流源,亦即恒流特性得以改善。
优点:具有更好的温度稳定性



3.2 MOS晶体管结构

4、威尔逊镜像电流源
4.1双极型晶体管结构


这是一种高输出阻抗电流源,T0与T1构成的基本镜像电流源串接在T2的发射极,相当于镜像电流源内阻作为T2的发射极电阻,可大大提升输出交流内阻。
优点:误差小
缺点:噪声较大,稳定性较差
4.2 MOS晶体管结构




5、串接镜像电流源
5.1双极型晶体管结构

由于Q1、Q3与Q2、Q4并联,则必然有VBE3+VBE1=VBE4+VCE2,如果放大倍数足够大,可以认为IC1=IC3、IC2=IC4,又因为IC2=IC1,所以有VCE2=VBE1+VBE3-VBE4≈VBE1=VCE1(Q1的基极与集电极是短接的),也就是说,不管直流电源电压VCC怎么变化,这个级联型电路总是会强制将VCE2接近VCE1,不仅提升了输出电流IC3的精度,也改进了电流源的恒流特性(输出交流内阻是rce2与rce4串联后的等效电阻)。

晶体管Q3,和Q1,构成了一个简单的镜像电流源,可以添加一个射极电阻来提高电路匹配程度。晶体管Q2作为串接的公共基极,传输Q1的集电极电流至输出端,并呈现一个很高的输出电阻。晶体管Q4连接成为一个二极管形式,提供给Q2一个偏压。这样Q1就工作在正向放大区。

5.2 MOS晶体管结构








6、微电流源
6.1双极型晶体管结构


优点:可以输出微安级别的电流
6.2 MOS晶体管结构

基准源特性
1、与VDD和noise无关,即在一定电压范围内都是恒流输出,噪声灵敏度低
2、与temperature无关,使得器件在一定的温度范围内都是恒流输出
3、与u·Cox无关,即与工艺参数无关,使得不同批次的器件都能保持输出电流恒定




参考资料:
1.杨建国:《新概念模拟电路1 晶体管》Section35-37
2.Gray:《模拟集成电路的分析与设计》第四章 -镜像电流源、有源负载和基准源
3.https://blog.csdn.net/qq_40945081/article/details/107188972
4.https://blog.csdn.net/weixin_44115643/article/details/119901330
5.https://mp.weixin.qq.com/s/MnovUypEUwS_AFe0Xr54cQ

浙公网安备 33010602011771号