实用指南:2025年7月一区SCI-整体群优化算法Holistic swarm optimization-附Matlab免费代码
引言
本期介绍一种基于全种群信息的无隐喻的创新算法——整体群优化算法Holistic swarm optimization,HSO。与依赖部分或局部信息的传统算法不同,HSO采用了一种综合手段,确保每个决策都是由总体分布和适应度决定的。于2025年7月在线发表在JCR 1区,中科院1区 SCI期刊 Computer Methods in Applied Mechanics and Engineering。

该算法通过一个自适应框架动态平衡探索和构建,该框架集成了基于均方根(RMS)适应度的位移系数、基于模拟退火的选择和自适应突变。这种结构使HSO能够有效地消除复杂的多模态优化问题,同时避免局部最优。
1. 初始化:和其他群优化算法一样,采用随机初始化。



2. 系数计算:计算所有适应度值的均方根(RMS),计算公式如下:

继而,根据每个适应度值与均方根的差值计算位移向量的系数;个体的差异为:
![]()
系数c低于均方根值的差值为正值,高于均方根值的差值为负值,归一化后的绝对值之和为1

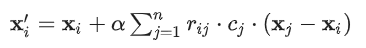
3. 位置更新:搜索个体的位置迭代更新。每个个体位置受其当前位置与所有其他个体位置之差的加权和的影响。更新规则为
![]()
4. 基于自适应模拟退火的选择:基于模拟退火(SA)的选择过程包括每次迭代的动态温度更新。更新如下:

如果新的适应度值比以前的值更好,该算法以贪婪的方式运行,用新的解替换旧的解。以下准则适用于选择:



5. 自适应变异:为进一步提高勘探能力,自适应定义突变算子,根据当前迭代动态调整突变算子的突变率和突变步长


这种配置允许HSO在初始迭代中更广泛地探索搜索空间,同时在接近最大迭代次数时逐渐专注于利用当前解决方案
如果发生突变,随机扰动添加到个体的位置中
![]()

通过遵循这些步骤,HSO算法有效地平衡了全局和局部搜索策略,确保了跨各种挑战域的鲁棒优化性能。算法的伪代码在算法1中给出。
算法伪代码:


03. 对比验证
原文作者在CEC 2005和CEC 2014两个广泛使用的基准测试套件以及一系列实际工程设计问题上对HSO的性能进行了评估。结果表明,与几种最先进的基于隐喻和无隐喻的算法相比,HSO具有竞争力和稳定的性能。这些发现证明了整体人口导向方法在实现稳健优化结果方面的有效性,使HSO成为解决多样化和具有挑战性难题的有希望的替代方案,而不依赖于隐喻性的灵感。


参考文献
Holistic Swarm Optimization: A Novel Metaphor-less Algorithm Guided by Whole Population Information for Addressing Exploration-Exploitation Dilemma. Ebrahim Akbari, Abolfazl Rahimnejad, Stephen Andrew Gadsden, Elsevier - Computer Methods in Applied Mechanics and Engineering, 2025
Matlab代码下载
微信搜索并关注-优化算法侠(英文名:Swarm-Opti),或扫描下方二维码关注,以算法名字搜索历史文章即可下载。

完整代码

点击链接跳转:
390种优化算法免费下载-matlab
https://mp.weixin.qq.com/s/EzKqtSwR9r2DkGj-ozJXwA
求解cec测试函数-matlab
cec2022测试函使用教程及matlab代码免费下载
绘制cec2017/018/2019/2020/2021/2022函数的三维图像教程,SO EASY!

浙公网安备 33010602011771号