树状数组(单点修改|查询前缀和、单点修改|单点查询、单点修改|区间查询、区间修改|单点查询、区间修改|区间查询) 学习笔记+例题
树状数组
算法作用
- 动态维护前缀和、异或和、最大值、最小值
- 单点修改|查询前缀和、单点修改|单点查询、单点修改|区间查询、区间修改|单点查询
前置知识
lowbit(x)运算:x&-x
一些公式

对于任意一个数 x x x:
- t [ x ] t[x] t[x]保存以 x x x为根的子树中叶节点的和.
- t [ x ] t[x] t[x]节点所覆盖的长度等于 l o w b i t ( x ) lowbit(x) lowbit(x)
- t [ x ] t[x] t[x]节点的父节点为 t [ x + l o w b i t ( x ) ] t[x+lowbit(x)] t[x+lowbit(x)]
- 整个树的深度是 l o g 2 ( n + 1 ) log_2(n+1) log2(n+1)
操作
-
add(x, k) — 对a[x] 加上一个数k
-

-
依次向上修改父节点(
idx += lowbit(idx)),并对所有父节点进行更新 -
void add(int x, int k){ for(; x <= n; x += lowbit(x)) t[x] += k; }
-
-
ask(x) — 查询从a[1] 到 a[x] 区间的前缀和
-

-
从该点向左上找到与其相邻的节点(
idx -= lowbit(idx)) -
int ans(int x){ int ans = 0; for(; x; x -= lowbit(x)) ans += t[x]; return ans; }
-
-
单点修改|查询前缀和
add(x, k); ask(k); -
单点修改|单点查询
add(x, k); ask(x) - ask(x - 1); -
单点修改|区间查询
add(x, k); ask(r) - ask(l - 1); -
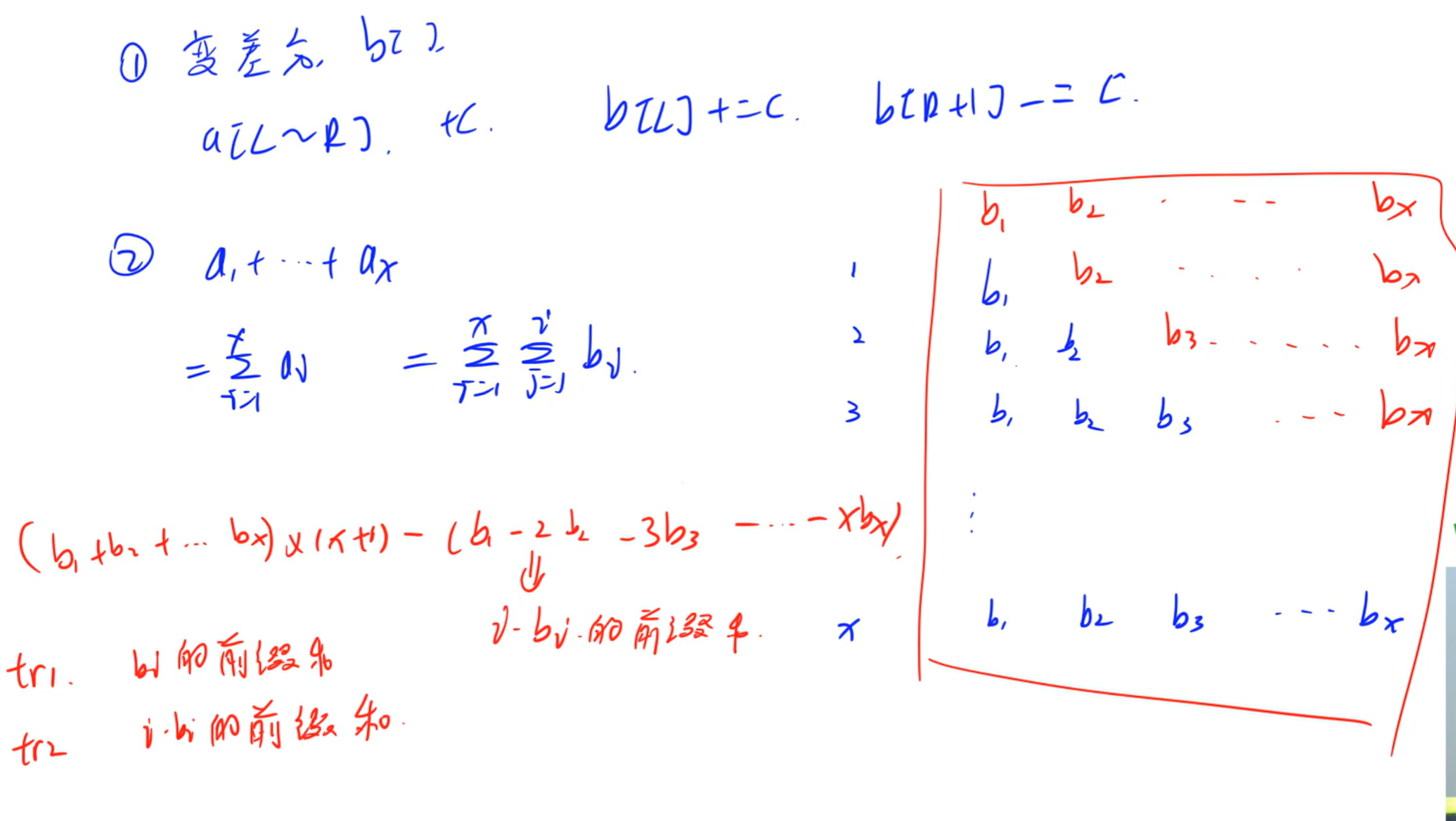
区间修改|单点查询 差分
注意:需要用树状数组维护原数组的差分数组的前缀和
add(l, d), add(r + 1, -d); a[x] + ask(x); -
区间修改|区间查询

//添加 add(l, d, tr1), add(r + 1, -d, tr1); add(l, l * d, tr2), add(r + 1, (r + 1) * -d, tr2); //查询 int get(int x){ return ask(x, tr1) * (x + 1) - ask(x, tr2); } get(r) - get(l - 1)
例题
P3374 【模板】树状数组 1
#include <bits/stdc++.h>
#define endl "\n"
#define int long long
using namespace std;
const int maxn = 5e5 + 10;
int tr[maxn];
int a[maxn];
int n, m;
int lowbit(int x){
return x & -x;
}
void add(int x, int b){
for(; x <= n; x += lowbit(x)) tr[x] += b;
}
int ask(int x){
int ans = 0;
for(; x; x -= lowbit(x)) ans += tr[x];
return ans;
}
signed main(){
ios::sync_with_stdio(false); cin.tie(0); cout.tie(0);
cin >> n >> m;
for(int i = 1; i <= n; i ++){
cin >> a[i];
add(i, a[i]);
}
while(m -- ){
int op; cin >> op;
if(op == 1){
int a, b; cin >> a >> b;
add(a, b);
}
else{
int a, b; cin >> a >> b;
cout << ask(b) - ask(a - 1) << endl;
}
}
return 0;
}
P3368 【模板】树状数组 2
#include <bits/stdc++.h>
#define endl "\n"
#define int long long
using namespace std;
const int maxn = 5e5 + 10;
int n, m;
int tr[maxn], a[maxn];
int lowbit(int x){
return x & -x;
}
void add(int x, int k){
for(; x <= n; x += lowbit(x)) tr[x] += k;
}
int ask(int x){
int ans = 0;
for(; x; x -= lowbit(x)) ans += tr[x];
return ans;
}
signed main(){
ios::sync_with_stdio(false); cin.tie(0); cout.tie(0);
cin >> n >> m;
for(int i = 1; i <= n; i ++){
cin >> a[i];
add(i, a[i] - a[i - 1]);
}
while(m--){
int op; cin >> op;
if(op == 1){
int x, y, k; cin >> x >> y >> k;
add(x, k), add(y + 1, -k);
}
else{
int k; cin >> k;
cout << ask(k) << endl;
}
}
return 0;
}
AcWing 241. 楼兰图腾
#include <bits/stdc++.h>
#define endl "\n"
#define int long long
using namespace std;
const int maxn = 2e5 + 10;
int n, m;
int ans1, ans2;
int a[maxn], upper[maxn], lower[maxn];
int tr[maxn];
int lowbit(int x){
return x & -x;
}
void add(int a, int b){
for(; a <= n; a += lowbit(a)) tr[a] += b;
}
int ask(int x){
int ans = 0;
for(; x; x -= lowbit(x)) ans += tr[x];
return ans;
}
signed main(){
ios::sync_with_stdio(false); cin.tie(0); cout.tie(0);
cin >> n;
for(int i = 1; i <= n; i ++) cin >> a[i];
for(int i = 1; i <= n; i ++){
int y = a[i];
lower[i] = ask(y - 1);
upper[i] = ask(n) - ask(y);
add(y, 1);
}
memset(tr, 0, sizeof tr);
for(int i = n; i >= 1; i --){
int y = a[i];
ans2 += ask(y - 1) * lower[i];
ans1 += (ask(n) - ask(y)) * upper[i];
add(y, 1);
}
cout << ans1 << " " << ans2;
return 0;
}

浙公网安备 33010602011771号