Pytorch的计算图概念
Pytorch是如果为函数中的每个变量求导的呢?这就引入了一个特殊的概念:计算图
假如我们有一个函数: z = 2*a + 2*b
我们不妨设: f1=2*a, f2=2*b
那么: z = f1 + f2
其函数的内部运算过程可以用下图表示出来:

当我们进行前向传播时(即通过自变量a,b的值计算函数值z时),pytorch会在内部存储结构中自动的构建出如上图这样的计算图,第一层的第一个圈为2,由于其是常数,没有梯度,故我们将其画成白色,a和b都是变量,我们反向传播时都要对其求导(故在创建a,b时我们都会设置requires_grad=True),故将其涂成绿色,第二层的两个圈涂成蓝色,这里涂成蓝色的意思是这两个圈表示的是操作,由图中我们可以看出
1. 常数a会和变量a相乘,相乘的结果会存在f1中
2. 变量a会和变量b相乘,相乘的结果会存在f2中
3.f1会和f2相加,相加的结果就是函数z
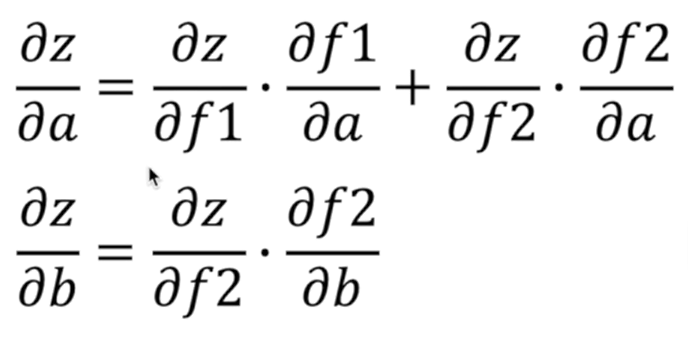
我们从z开始往回走,每一条线都可表示该线上的输出(该条线段右边的圈)对于该线上的输入(该条线段左边的圈)的求导,如图

如果我们想要函数关于某个变量的导数,我们只需观察终点到这个变量的路径,同一条路径上的导数相乘,如果存在多条路径可到达,那么就将这些路径相加。
比如z到a共有两条路径:z先是到f1,f1再到a,那么我们就得到 (z对f1的导数)* (f1对a的导数)
还有一条是:z先是到f2,f2再到a,那么我们就得到 (z对f2的导数)* (f2对a的导数)
共有两条路径,那么z整个对a的导数就是: (z对f1的导数)* (f1对a的导数) + (z对f2的导数)* (f2对a的导数),
按照上述规则,可得:
    
注意,在python代码中当我们创建变量a,b并将其requires_grad设置为True后,由a和b复合运算产生的新变量(如f1和f2)乃至往后所有基于a,b运算产生的变量,其requires_grad都会自动的默认为True,我们不用显式的调用函数去设置这些变量的requires_grad为True。
如果我们希望某些计算不在计算图中(因为计算图主要是用来做反向传播的,而有些变量我们并不要其导数,我们只要正向的计算过程,那么我们就可以把这些变量从计算图中分离出来,以加快反向传播的速度)那么分离某些计算就有两种方法:
方法1:使用with torch.no_grad(),在with torch.no_grad()代码块下,所有创建的变量requires_grad都会默认设置为False
方法2:调用tensor变量的detach()方法,调用后,该变量的requires_grad会设置为False
具体代码如下:
import torch a = torch.tensor(3. , requires_grad=True) b = torch.tensor(4. , requires_grad=True) f1 = 2 * a f2 = a * b z = f1 + f2 print(type(f1)) #f1由常量和张量a运算构成,故f1也是张量,输出为tensor print(f1.requires_grad) #输出为True,因为默认设置了requires_grad为True print(f2.requires_grad) #输出为True,原因与f1同理 z.backward() print(f1.grad) #输出为None,这里我怀疑反向传播只会计算叶子节点变量的梯度,而对中间变量的梯度会计算(因为叶子节点的梯度需要中间节点的梯度)但中间节点计算后的梯度并不会保留 print(a.grad) #输出为6.0 print(b.grad) #输出为3.0 #分离计算的方法: #法1 with torch.no_grad(): f3 = a * b print(f3.requires_grad) #输出为False,因为f3变量是在with torch.no_grad()代码块中创建,因此其requires_grad默认为True print(f2.requires_grad) #输出为True,因为f2变量是之间已经创建好的,因此不受with torch.no_grad()代码块影响 #法2 a1 = a.detach() print(a.requires_grad) #输出为True,a并不受影响 print(a1.requires_grad) #输出为False,调用detach方法相当于a1把这个变量,从计算图中分离出来,因此其requires_grad默认为False
问题:既然分离计算后变量的特点都是requires_grad为False,那么我们直接用requires_grad_(False)函数将变量的 requires_grad设置为False是不是等价于将该变量分离计算呢?
                    
                
                
            
        
浙公网安备 33010602011771号