有关幅值、振幅、峰值、峰峰值、有效值、平均值的区分
本文以Ut=10sin(wt) 的正弦电压为例:
幅值:10V
振幅: 10V
峰值(Vp:Peak): 10V
峰峰值(Vpp:Peak to peak): 20V
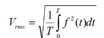
有效值(Vrms): 10/2^(1/2)-->峰值除以根号二

平均值(Vavg):

这边提以下半波整流与全波整流下平均值与峰值的关系
半波整流:Vavg=0.45Vp
全波整流:Vavg=0.9Vp注意:这里都是以理想二极管模型来分析,就是忽略了二极管的正向压降。如果要考虑压降,那么注意半波整流压降一个二极管的电压,而全波整流则压降了两个。

浙公网安备 33010602011771号