[Golang]力扣LeetBook—初级算法—链表— 反转链表
[Golang]力扣LeetBook—初级算法—链表—反转链表
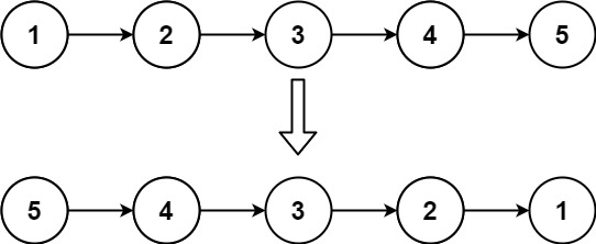
题目:给你单链表的头节点 head ,请你反转链表,并返回反转后的链表。
示例 1:

输入:head = [1,2,3,4,5]
输出:[5,4,3,2,1]
示例 2:
输入:head = [1,2]
输出:[2,1]
示例 3:
输入:head = []
输出:[]
标签:递归、链表
思路:在遍历链表时,将当前节点的 next 指针改为指向前一个节点。由于节点没有引用其前一个节点,因此必须事先存储其前一个节点。在更改引用之前,还需要存储后一个节点。最后返回新的头引用。
| 位置调换次数 | pre(转换后) | cur(原来) | whole |
|---|---|---|---|
| 0 | nil | 1->2->3->4->5 | 1->2->3->4->5 |
| 1 | 1->nil | 2->3->4->5 | 2->3->4->5->1->nil |
| 2 | 2->1->nil | 3->4->5 | 3->4->5->2->1->nil |
| 3 | 3->2->1->nil | 4->5 | 4->5->3->2->1->nil |
| 4 | 4->3->2->1->nil | 5 | 5->4->3->2->1->nil |
主要Go代码如下:
type ListNode struct {
Val int // 值
Next *ListNode // 指针
}
func reverseList(head *ListNode) *ListNode {
cur := head
var pre *ListNode = nil // 空指针
for cur != nil {
pre, cur, cur.Next = cur, cur.Next, pre // 这句话最重要
}
return pre
}
提交截图:


浙公网安备 33010602011771号