[Golang]力扣LeetBook—初级算法—链表—环形链表(快慢指针)
[Golang]力扣Leetcode—初级算法—链表—环形链表(快慢指针)
题目:给你一个链表的头节点 head ,判断链表中是否有环。如果链表中有某个节点,可以通过连续跟踪 next 指针再次到达,则链表中存在环。 为了表示给定链表中的环,评测系统内部使用整数 pos 来表示链表尾连接到链表中的位置(索引从 0 开始)。如果 pos 是 -1,则在该链表中没有环。注意:pos 不作为参数进行传递,仅仅是为了标识链表的实际情况。如果链表中存在环,则返回 true 。 否则,返回 false 。
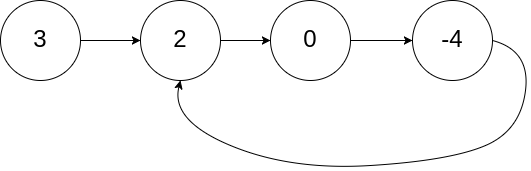
示例 1:
输入:head = [3,2,0,-4], pos = 1
输出:true
解释:链表中有一个环,其尾部连接到第二个节点。
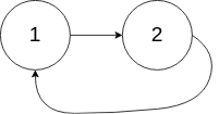
示例 2:
输入:head = [1,2], pos = 0
输出:true
解释:链表中有一个环,其尾部连接到第一个节点。
示例 3:
输入:head = [1], pos = -1
输出:false
解释:链表中没有环。
标签:哈希表、链表、双指针
思路:
定义两个指针,一个快指针,一个慢指针,快指针每次走两步,慢指针每次走一步,如果链表中有环得话,那么快慢指针一定会相遇。
主要Go代码如下:
/**
* Definition for singly-linked list.
* type ListNode struct {
* Val int
* Next *ListNode
* }
*/
func hasCycle(head *ListNode) bool {
//先定义两个指针,一个快指针,一个慢指针,都指向头
fast, slow := head, head
for fast != nil && slow != nil && fast.Next != nil {
slow = slow.Next //慢指针每次走一步
fast = fast.Next.Next //快指针每次走两步
if slow == fast { //当链表是有环得话,那么快慢指针一定会相遇
return true
}
}
return false
}
提交截图:





浙公网安备 33010602011771号